V 型皮带强度校核

要确定需要的皮带数或校核皮带驱动的强度,应用程序将比较皮带额定功率和传动功率。要获得皮带额定功率,将使用基本皮带额定功率,并使用通过给定皮带驱动布局确定的特定系数进行修正。

基本皮带额定功率 P BR

基本皮带额定功率由在 XML 数据表中定义并存储在 Design Data 文件夹中的公式确定。V 型皮带生成器中所有皮带的描述都在特定 XML 文件中,该文件中包含所有皮带可用大小以及所需的机械特性。基本功率公式和公式中使用的系数都是根据标准建议选用的,标准建议可能与实际的制造商数据不同。用户可以自定义基本皮带额定功率并提供皮带制造商目录中的真实数据。通常,建议的标准额定功率比较保守,使得在皮带驱动过度设计时能够与皮带制造商进行交换。

通常,基本皮带额定功率是最小皮带轮(驱动轮或从动轮)的速度、节径和速度比的函数。

P RB = F(n j , D Pj , i j )

注: j 指数表示皮带驱动中最小驱动轮或从动轮的指数。

皮带额定功率 P R

P R = P RB c 1 c 3 c 4 c 5

结果安全系数

如果合成安全系数 C PR < C p ,则强度校核失败

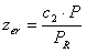
需要的皮带数

过度拉伸检验

皮带的最大许用拉伸由下面的表达式确定

如果 F max < F t max 或 F max < F t ,则强度校核失败

有效皮带速度和弯曲频率检验

如果皮带弯曲频率 f b > f max ,可能会出现效率降低和皮带过早损坏的情况。将显示错误警告。

如果皮带速度 v > v max ,将显示错误警告,因为此皮带不适用于此速度。

所用变量的含义:

f max

最大皮带弯曲频率 [Hz]

f b

给定皮带驱动的皮带弯曲频率 [Hz]

n

指定皮带轮的速度 [rmp]

D P

张紧轮公称外径 [m]

i

给定皮带轮的传动比(速度比)[-]

c 1

接触弧校正系数 [-]

c 2

安全系数 [-]

c 3

皮带长度校正系数 [-]

c 4

皮带数校正系数 [-]

c 5

皮带轮数校正系数 [-]

z

皮带数 [-]

P R

给定传动布局的皮带额定功率 [W]

P

传动功率 [W]

v

皮带速度 [m/s]

v max

最大许用皮带速度 [m/s]

注: j 指数表示皮带驱动中最小驱动轮或从动轮的指数

基本几何计算