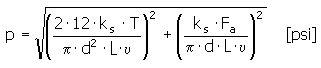
接触压力
最小轮毂长度
建议值:L = (0.6 - 3) d
单个螺栓承受的力
强度校核
p ≤ p A
其中:
|
F a |
轴向力 [lb] |
|
|
T |
转矩 [lb ft] |
|
|
d |
轴直径 [in] |
|
|
p |
连接中的接触压力 [psi] |
|
|
p A |
许用压力 [psi] |
|
|
L |
轮毂长度 [in] |
|
| υ |
夹紧系数 υ = 0.008 至 0.1 [-] |
|
|
k s |
滑差安全系数 [-] |
|
|
F |
一个螺栓承载的力 [lb] |
|
|
F s |
所有螺栓承载的力 [lb] |
|
|
i |
螺栓总数 [-] |