Bezier 曲线是 NURBS 曲线的子集,它由两种类型的控制顶点组成:定位点和切线。定位点位于曲线上并确定切线的原点。切线确定曲线通向相邻定位点时的形状。


由于 Bezier 曲线是 NURBS 曲线的子集,因此可以对 Bezier 曲线执行大多数 NURBS 操作。也可以对 Bezier 曲线和 NURBS 曲线的组合执行 NURBS 操作。通常,涉及所有 Bezier 曲线的操作会生成 Bezier 曲线,而涉及 Bezier 和 NURBS 曲线组合的操作会生成 NURBS 曲线。
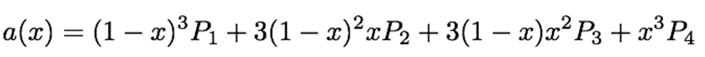
Maya 中的所有 Bezier 曲线都是立方的,即两个定位点之间的曲线由四个点(p 1 到 p 4 )确定。

该曲线从 p 1 开始,朝 p 2 移动,然后通过 p 3 走弧线向 p 4 移动。

其中 x 是大于等于 0 且小于等于 1 的任意值。
从数学原理上讲,可通过为每个 x 值绘制一个点然后连接这些点来生成 Bezier 曲线。在 Maya 中,可通过手动绘制定位点并调整切线(t 1 和 t 2 )来绘制 Bezier 曲线。