Array 元素指定 LUT 或矩阵的值数组。当 Array 元素包含在 Matrix 元素中时,其内容的格式与包含在 LUT1D 或 LUT3D 元素中时的格式不同。
版本 1.3。
在矩阵中,这些数值指定从左到右、从上到下,逐行序列化的矩阵条目。数组值的缩放取决于输入和输出位深度。出于相乘目的,将颜色值视为列向量。
数组值的缩放取决于输入和输出位深度。例如,如果输入深度为 10i,输出深度为 12i,则在主对角线和条目 0 的任意其他位置上包含条目 4095/1023 的矩阵为身份变换。


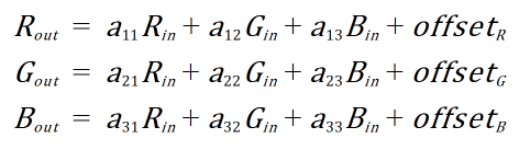
3×3 矩阵相乘


3×4 矩阵相乘


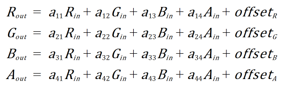
4×4 矩阵相乘


4×5 矩阵相乘
| 值 | 含义 |
|---|---|
| "3 3 3" | 对 RGB 值进行操作的 3×3 矩阵。 |
| "3 4 3" | 对 RGB 值进行操作的 3×4 矩阵。 版本 1.3 中引入。 |
| "4 4 4" | 对 RGBA 值进行操作的 4×4 矩阵。 版本 1.3 中引入。 |
| "4 5 4" | 对 RGBA 值进行操作的 4×5 矩阵。 版本 1.3 中引入。 |
| "4 4 3" | 对 RGB 值进行操作的 4×4 矩阵。如果您使用此选项,矩阵的底端行应为 [0 0 0 1]。 只有当 ProcessList 元素的 version 属性为 "1.2" 时,此选项才有效。对于版本 1.3 及更高版本,请改用 "3 4 3"。 |
<ProcessList id="af6a6c73-aae9-4be6-8051-a796bc480b1c" version="1.2">
<Matrix inBitDepth="32f" outBitDepth="32f">
<Array dim="3 3 3">
0.7841929793 0.0904410034 0.1253670007
0.0445200019 1.0391299725 -0.0836500004
0.0358299986 -0.3302420080 1.2944129705
</Array>
</Matrix>
</ProcessList>
<ProcessList id="53d366de-e200-476f-b3fd-ed1ca7044197" version="1.3">
<Matrix inBitDepth="32f" outBitDepth="10i">
<Array dim="3 4 3">
499.99996948 0.00000000 0.00000000 94.99999237
0.00000000 499.99996948 0.00000000 94.99999237
0.00000000 0.00000000 499.99996948 94.99999237
</Array>
</Matrix>
</ProcessList>