PBAR

Bar Element Property

Description: Defines the properties of bar elements (CBAR entry).

Format:

Example:

Field Definition Type Default
PID Property identification number. Integer > 0 Required
MID Material identification number. See Remark 2. Integer > 0 Required
A Area of bar cross-section. Real Required
I1, I2, I12 Area moments of inertia. (I1 ≥ 0.0, I2 ≥ 0.0, I1 * I2 > I12 2 ) Real or blank 0.0
J Torsional constant. Real or blank 0.0
NSM Nonstructural mass per unit length. Real or blank 0.0
Ci, Di, Ei, Fi Stress recovery coefficients. Real or blank 0.0
K1, K2 Area factors for shear. Real or blank See Remark 4
C Coefficient to determine torsional stress. Real or blank See Remark 6
F0 Preload. Real or blank 0.0

Remarks:

  1. PBAR entries must all have unique property identification numbers.
  2. For structural problems, PBAR entries may only reference MAT1 material entries.
  3. See CBAR entry for a depiction of bar element geometry.
  4. The transverse shear stiffness in planes 1 and 2 are and , respectively. The default values for K1 and K2 are infinite; in other words, the transverse shear flexibilities are set equal to zero. K1 and K2 are ignored if I12 > 0.0.
  5. The stress recovery coefficients C1, C2, etc. are the y and z coordinates in the BAR element coordinate system of a point at which stresses are computed. Stresses are computed at both ends of the BAR.
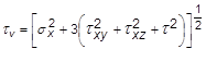
  6. A single von Mises stress value is determined is based on the maximum combined axial and bending stress, the transverse shear stress, and the torsional stress using:

    where the transverse shear stress is determined using:

    and and are the element transverse shear forces and and . The torsional stress is determined using:

    where T is the torsional moment. The torsional stress coefficient, C, should be selected as the maximum wall thickness for open sections and the radius for circular sections.