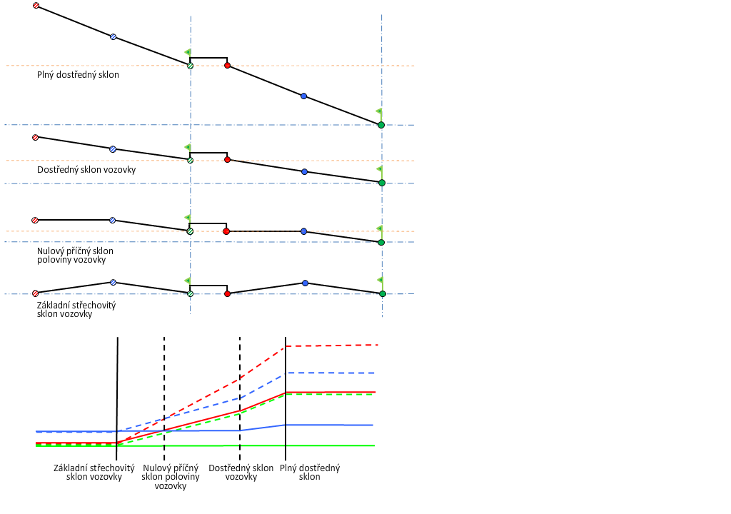
Následující obrázek uvádí metodu otočení dovnitř oblouku pro směrově rozdělenou vozovku se střechovitým příčným sklonem.
Zachovat tvar středního dělicího pásu znamená, že když se použije klopení vozovky, zvýší se střední dělicí pás, aby se přizpůsobil klopení vozovky. Tato možnost zachovává tvar středního dělicího pásu a
body otáčení se zvyšují nebo snižují.
Vysvětlení diagramů klopení vozovky najdete v části Metody klopení osy otáčení okolo bodů otáčení.
