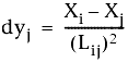
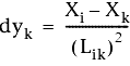
Die Änderung der Koordinaten für jede Beobachtung wird in den folgenden Taylor-Approximationen der Gleichung für Winkel-Beobachtungen ausgedrückt:
Dabei gilt
- Lij = beobachtete Länge der Linie IJ
- Lik = beobachtete Länge der Linie IK
- Lik = beobachtete Länge der Linie IK
- Xi, Yi = die wahrscheinlichsten Koordinaten von Punkt I
- Xj, Yj = die wahrscheinlichsten Koordinaten von Punkt J
- Xk, Yk = die wahrscheinlichsten Koordinaten von Punkt K
Die folgende Abbildung zeigt die Geometrie der Gleichung für die Winkel-Beobachtung