In der folgenden Abbildung wird die Drehpunktmethode Innenseite des Bogens für eine baulich getrennte Straße mit Dachprofil gezeigt.
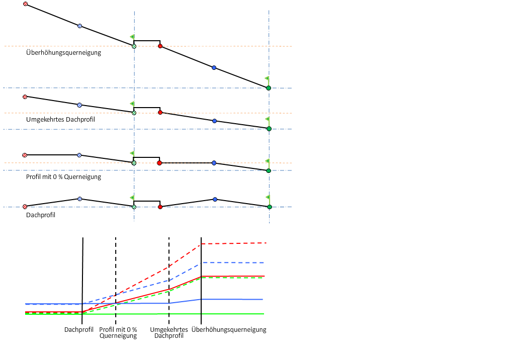
Die Option Mittelstreifenkontur beibehalten bewirkt, dass beim Anwenden einer Querneigung der Mittelstreifen angehoben wird, um die Querneigung zu berücksichtigen. Mit dieser Option werden die Mittelstreifenkontur beibehalten und die
Drehpunkte erhöht oder verringert.
Eine Beschreibung der Querneigungsdiagramme finden Sie unter Informationen zu Drehpunktmethoden der Querneigungsdrehachse.
