Various transition curves are used in civil engineering to gradually introduce curvature and superelevation between both straights and circular curves as well as between two circular curves with different curvature.
In its relationship to other straights and curves, each transition is either an incurve or an outcurve.
The two most commonly used parameters by engineers in designing and setting out a transition are L (transition length) and R (radius of circular curve).
The following illustration shows the various parameters of a transition:
| Transition Parameter | Description |
| i1 | The central angle of transition curve L1, which is the transition angle. |
| i2 | The central angle of transition curve L2, which is the transition angle. |
| T1 | The total straight distance from IP to TS. |
| T2 | The total straight distance from IP to ST. |
| X1 | The straight distance at TC from TS. |
| X2 | The straight distance at CS from ST. |
| Y1 | The straight offset distance at TC from TS. |
| Y2 | The straight offset distance at CS from ST. |
| P1 | The offset of the initial straight into the PC of the shifted curve. |
| P2 | The offset of the initial straight out to the TP of the shifted curve. |
| K1 | The abscissa of the shifted PC referred to the TS. |
| K2 | The abscissa of the shifted TP referred to the ST. |
| LT1 | The long straight transition in. |
| LT2 | The long straight transition out. |
| ST1 | The short straight transition in. |
| ST2 | The short straight transition out. |
| Other Transition Parameters | |
| A1 | The A value equals the square root of the transition length multiplied by the radius. A measure of the flatness of the transition. |
| A2 | The A value equals the square root of the transition length multiplied by the radius. A measure of the flatness of the transition. |
Formula
Compound transitions provide a transition between two circular curves with different radii. As with the simple transition, this allows for continuity of the curvature function and provides a way to introduce a smooth transition in superelevation.
While Autodesk Civil 3D supports several transition types, the clothoid spiral is the most commonly used transition type. The clothoid spiral is used world wide in both highway and railway track design.
First investigated by the Swiss mathematician Leonard Euler, the curvature function of the clothoid is a linear function chosen such that the curvature is zero (0) as a function of length where the transition meets the straight. The curvature then increases linearly until it is equal to the adjacent curve at the point where the transition and curve meet.
Such an alignment provides for continuity of the position function and its first derivative (local whole circle bearing), just as a straight and curve do at a Point of Curvature (PC). However, unlike the simple curve, it also maintains continuity of the second derivative (local curvature), which becomes increasingly important at higher speeds.
Formula
Clothoid spirals can be expressed as:
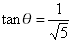
Flatness of transition:
Total angle subtended by transition:
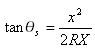
Straight distance at transition-curve point from straight-transition point is:
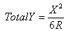
Straight offset distance at transition-curve point from straight-transition point is:

Instead of using the clothoid, the Bloss transition with the parabola of fifth degrees can be used as a transition. This transition has an advantage over the clothoid in that the shift P is smaller and therefore there is a longer transition, with a larger transition extension (K). This factor is important in rail design.
Formula
Bloss transitions can be expressed as:

Other key expressions:
Straight distance at transition-curve point from straight-transition point is:

Straight offset distance at transition-curve point from straight-transition point is:
These curves represent a consistent course of curvature and are applicable to transition from 0 through 90 degrees of straight deflections. However, sinusoidal curves are not widely used because they are steeper than a true transition and are therefore difficult to tabulate and stake out.
Formula
Sinusoidal curves can be expressed as:

where R is the radius of curvature at any given point.
This form of equation is commonly used in Japan for railway design. This curve is useful in situations where you need an efficient transition in the change of curvature for low deflection angles (in regard to vehicle dynamics.)
Formula
Sine Half-Wavelength Diminishing Straight curves can be expressed as:
where
and x is the distance from the start to any point on the curve and is measured along the (extended) initial straight; X is the total X at the end of the transition curve.
Other key expressions:
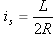
Straight distance at transition-curve point from straight-transition point is:

Straight offset distance at transition-curve point from straight-transition point is:

Cubic parabolas converge less rapidly than cubic transitions, which makes their use popular in railway and highway design.
Formula
Minimum Radius of Cubic Parabola
The radius at any point on a cubic parabola is:
A cubic parabola attains minimum r at:
So
A cubic parabola radius decreases from infinity to
at 24 degrees, 5 minutes, 41 seconds and from then onwards starts to increase again. This makes cubic parabolas useless for deflections greater than 24 degrees.
This transition was developed for requirements in Japan. Some approximations of the clothoid have been developed to use in situations to accommodate a small deflection angle or a large radius. One of these approximations, used for design in Japan, is Cubic (JP).
Formula
Cubic (JP) can be expressed as:
Where X = Straight distance at transition-curve point from straight-transition point
This formula can also be expressed as:

Where
is central angle the transition (illustrated as i1 and i2in the illustration)
Other key expressions:
Straight distance at transition-curve point from straight-transition point is:

Straight offset distance at transition-curve point from straight-transition point is:
This is a type of modified cubic parabola to meet the requirements of New South Wales (Australia) standards.
Formula
The NSW cubic parabola can be expressed as:
Where:
Φ = angle between final radial line at R and perpendicular line to the initial straight
R = radius of curve
Xc = total X of the given transition
Bi-quadratic (Schramm) transitions have low values of vertical acceleration. They contain two second-degree parabolas whose radii vary as a function of curve length.
Simple Curve Formula
Curvature of the first parabola:
for
Curvature of the second parabola:
for
This curve is specified by the user-defined length (L) of the transition curve.
Compound Curve Formulas
Curvature of the first parabola:
for
Curvature of the second parabola:
for