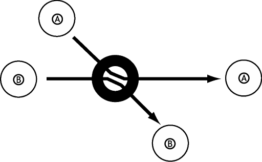
Swapping may occur when two markers either cross or pass close to each other. The trajectory of the two markers is misinterpreted by the capture system and the wrong data segments are labelled for each marker.

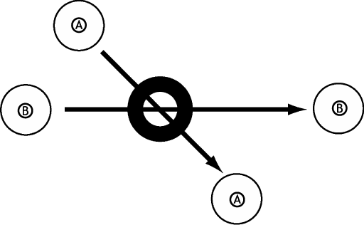
Sensors A and B cross paths in front of the camera and continue on straight trajectories

Sensors A and B cross paths in front of the camera and appear to veer away on odd trajectories
The first figure shows what actually occurs and the second figure shows how these markers may be misinterpreted by the capture system.