Description: Requests element strain output.
Format:
Example:
STRAIN(VONMISES, CORNER) = 45
| Option | Definition | Type | Default |
|---|---|---|---|
| Element strains will be output to both the Model Results Output File and the results neutral file system. | Character | ✓ | |
| PLOT | Element strains will be output only to the results neutral file system. | Character | |
| PUNCH | Element strains will be output additionally to the Model Results Punch File. | Character | |
| CENTER | Output shell and solid element strains at the center only. | Character | ✓ |
| CORNER | Output shell and solid element strains at the center and corner nodes. | Character | |
| GAUSS | Output shell and solid element strains at the center and gauss/integration points. | Character | |
| SHEAR | Maximum shear strain request for shell elements and octahedral shear strain request for solid elements. | Character | |
| VONMISES | Von Mises strain request for shell and solid elements. | Character | ✓ |
| TRESCA | Tresca strain request for shell and solid elements. | Character | |
| REAL or IMAG | Requests complex output in rectangular format (real and imaginary). | Character | ✓ |
| PHASE | Requests complex output in polar format (magnitude and phase). Phase output is in degrees. | Character | |
| STRCUR | Strain at reference plane and curvatures are output for shell elements. | Character | |
| FIBER | Strain at locations Z1 and Z2 are output for shell elements. | Character | ✓ |
| PSDF | Power spectral density function, RMS, and number of positive crossings output request. | Character | |
| ATOC | Autocorrelation function output request. | Character | |
| RALL | Both PSDF and ATOC will be output. | Character | |
| VRMS | RMS von Mises output request. | Character | |
| BIAX | Biaxiality ratio output request. | Character | |
| VALL | RMS von Mises, RMS principal, RMS maximum shear, and biaxiality ratio will be output. | Character | |
| THERMAL | Thermal strain request for shell and solid elements. | Character | |
| MECH | Mechanical strain request for shell and solid elements. | Character | |
| TOTAL | Total strain (thermal plus mechanical) request for shell and solid elements. | Character | ✓ |
| ALL | Element strains for all elements will be output. | Character | |
| n | Set identification of previously appearing SET command. Only strains for elements whose identification numbers appear on this SET command will be output. | Integer > 0 | |
| NONE | Element strains will not be output. | Character | ✓ |
Remarks:
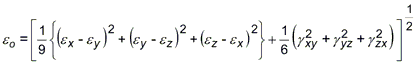
Octahedral shear strain:
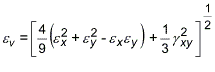
von Mises equivalent strain:
Tresca strain:
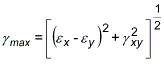
Maximum shear strain:
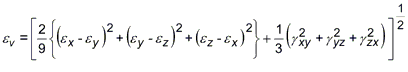
von Mises equivalent strain:
Tresca strain: