This material type is not supported for Explicit analyses. After selecting Orthotropic 3D from the Type drop-down, the following material sections will be available: General, Stiffness, Shear, Poisson’s Ratio, Thermal Expansion, Allowables, and Thermal.
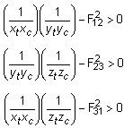
Material stability requires that:
If either condition is not met, a warning message will be issued.
It may be difficult to find all nine orthotropic constants. In some practical problems, the material properties may be reduced to normal anisotropy in which the material is isotropic in a plane (i.e., plane 1-2) and has different properties in the direction normal to this plane. In the plane of isotropy, the properties are reduced to:
with
and
.
There are five independent material constants for normal anisotropy (i.e.,
,
,
,
,
, and
). In case the material has a planar anisotropy, in which the material is orthotropic only in a plane, the elastic constants are reduced to seven (i.e.,
,
,
,
,
,
, and
).
creates complications in the use of this theory. For this reason, it is recommended that F12, F23, and F31 be set to zero.
For thermal analyses, you can input values for a conductivity matrix, specific heat, and mass density under the Thermal section. Mass density is repeated since it may be a requirement in thermal analysis as well as in structural analysis.