The average settlement option is available for all except the French codes (DTU 13.12 and Fascicule 62 Titre V). Turning on the analysis of this limit state as well as determining the settlement limit value are enabled in the Geotechnical options dialog.
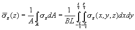
Calculations of the average settlement are based on the assumptions and formulas of the linear theory of elasticity. Calculations are performed on the basis of the stresses calculated from the Boussinesque formula and the superposition principle.

where:
B - Transverse dimension of a rectangle (foundation).
L - Longitudinal dimension of a rectangle (foundation).
Note that in SNiP 2.02.01-83 code, a different method of calculation is applied (see below for detailed descriptions for individual codes).
The formula describes an average value of stresses under a rectangular area. It is derived from the Boussinesque formula, which describes distribution of stresses due to a concentrated force load in an elastic semi-space.

Applying the superposition principle enables calculation of a stress at the point P(0,0,z), resulting from an arbitrary area loaded with a uniform load according to the following.

Solutions to the above equations for corner points of the rectangular area, under the center of the rectangular area as well as for an average value under the rectangular area, are from the appropriate studies. To obtain a value of the average stress under the rectangular area, the formula below should be used, which, after integration, assumes the form applied in the calculation algorithm.

Note that when ground water occurs, Archimedes pressure and a water weight are considered in the calculations.
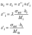
Additional stresses in the soil, accounted for in settlement calculations, are a difference between the stresses caused by the external load and the original stresses.
where:
M 0n - The original (without relaxation effects taken into account), oedometric (obtained in the three-axial compression apparatus) compressibility modulus of the soil in the n-th band. A relationship between the Young modulus and the oedometric compressibility modulus is expressed by the formula
.
Note that in SNiP 2.02.01-83 code, a different method of calculation is applied (see below for detailed descriptions for individual codes).
Note also that a value of the Poisson's ratio for a given soil type is not specified, the soil databases for individual countries may include the values E = M, which corresponds to a perfectly compressible material (ν = 0.0). Typical values of the Poisson's ratio equal 0.2÷0.3 for non-cohesive soils (value 0.2 refers to coarse-grained soils like gravels, whereas 0.3 refers to fine-grained soils such as dusts) and 0.25÷0.37 for cohesive soils (the value 0.25 concerns highly consolidated soils, while 0.37 - silty soils).
The following individual national requirements for limitations and demands apply.
Calculations of this limit state are not available.
General calculations comply to the requirements stated in point 6.6.1 and Appendix D. The settlement values in layers are added until the depth is reached. The limit value of additional stresses is less than 20% [6.6.1] (2).
General calculations comply to the requirements stated in point 6.6.1 and Appendix D. The settlement values in layers are added until the depth is reached. The limit value of additional stresses is less than 20% [6.6.2] (6).
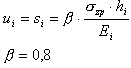
Calculations of settlement values are carried out according to code requirements (point 3.5 and Appendix 2). Formulas for general soil stresses correspond to the formulas Z2-9 for the average stresses under the rectangular area and to formula 16 for the original stresses and are applied in the calculations. Flow pressure effects are not taken into account.
There is a possibility to consider the effects of soil unloading through an excavation according to 3.5.1.2. Unloading effects calculate as negative stresses caused by external loads equal to the weight of the removed soil. It is available in the Geotechnical Options dialog (Construction time) and is equivalent to a definition of the code value λ equal to 0.0 or 1.0 in accordance with 3.5.3. The total settlement of a soil band is calculated from the formula.

The second from the formulas above is identical to the formula for settlement of a band given in the general algorithm.
In Polish versions, settlement values in layers are added until the depth is reached, at which the limit value of additional stresses is less than 30% of the original.
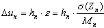
Settlement calculations are made according to the code requirements: point 2.39 and Appendix 2.

Stresses caused by external loads are calculated on the basis of the code formula in Appendix 2 (2).
The coefficient α is determined based on Appendix 2 (Table 1), between the values provided in the table, linear interpolation is performed.
Settlement in layers values are added until the depth is reached, at which the limit value of additional stresses is less than 20% of the original. If the layer at this depth possesses the Young modulus of the value E<5MPa or a layer that lies directly under it possesses the modulus of this value, then the calculations are carried out until the depth is reached at which the limit value of additional stresses is less than 10% of the stresses (Appendix 2 point 6).