Cálculo geométrico básico de engranajes biselados

Parámetros de entrada

Tipo de engranaje: según la posición del cono de raíz y de cabeza.

Coeficiente de engranaje y número de dientes

Ángulo de presión (ángulo del perfil de la herramienta) α t

Ángulo de hélice β m

Ángulo de eje Σ

Módulo tangencial en el cono externo met (para el cálculo en unidades métricas)

Separación tangencial del diámetro en el cono exterior Pet (para unidades imperiales)

Nota: el módulo y la separación del diámetro son valores recíprocos.

Altura de cabeza del diente unitaria ha *

Juego unitario c *

Empalme de altura de pie del diente unitaria r f *

Anchuras de cara b 1 , b 2

Corrección unitaria x = x 1 = - x 2

Cambio unitario de grosor de diente x t = x t1 = - x t2

Cálculos geométricos auxiliares

Distribución de las correcciones unitarias para engranajes sencillos

Diseño según el cálculo de resistencia

Diseño de la anchura de cara

Cálculo del empalme máximo de la altura de pie del diente

Parámetros calculados

 

Ángulo de presión normal en el plano medio

 

tg α nm = tg α t cos β m

Ángulo de separación

 

Diámetro exterior de separación

 

d e1,2 = m et z 1,2

Longitud exterior de la línea de superficie del cono de separación

 

Longitud de la línea de superficie del cono medio

 

R m = R e - 0.5 b

Anchura relativa de cara

 

Módulo tangencial del cono medio

 

Módulo normal del cono medio

 

m mn = m mt cos β m

Diámetro medio de separación

 

d m1,2 = m mt z 1,2

Número de dientes equivalente

 

Diámetro de separación equivalente

 

Diámetro de base equivalente

 

d vb1,2 = d v1,2 cos α t

Diámetro exterior equivalente

 

d va1,2 = d v1,2 + 2 h ae1,2 m mt / m et

Distancia al centro equivalente

 

a v = 0.5 (d v1 + d v2 )

Coeficiente de engranaje virtual

 

Número virtual de dientes

 

Diámetro de separación virtual

 

Diámetro de base virtual

 

d bn1,2 = d n1,2 cos α t

Diámetro exterior virtual

 

d an1,2 = d n1,2 + 2 h ae1,2 m mt / m et

Ángulo de hélice virtual en el cilindro base

 

sin β b = sin β m cos α nm

Distancia virtual al centro

 

a n = 0.5 (d n1 + d n2 )

Reducción de la altura de pie del diente

 

k 1,2 = 0.02 (17 - z n1,2 )

para k > 0 se realiza el acortamiento de la altura de pie

Altura de cabeza del diente

 

h ae1,2 = m et (h a * + x 1,2 - k 1,2 )

Altura de pie del diente

 

hf e1,2 = m et (h a * + c * - x 1,2 )

Diámetro exterior

 

d ae1,2 = d e1,2 + 2ha e1,2 cos δ 1,2

Diámetro raíz

 

d fe1,2 = d e1,2 - 2 hfe1,2 cos δ 1,2 )

Diámetro exterior en el extremo pequeño

 

d ai1,2 = d ae1,2 (1 - φ R )

Distancia al vértice

 

A 1,2 = R e cos δ 1,2 - h ae1,2 sin δ 1,2

Ángulo de biselado exterior

 

Ángulo de corte

 

Grosor de diente (medido normalmente en el diámetro de separación)

 

Anchura de cara de cuerda (normal)

 

s ke1,2 = s e1,2 cos 2 α t

Altura de cabeza del diente sobre la cuerda

 

Anchura de la altura de cabeza del diente unitaria (medida normalmente)

 

 

donde:

 
   

Anchura de funcionamiento de los engranajes

 

b w = b

Factor de duración de engranaje

 

ε = ε + ε

Corrección mínima sin conicidad

 

 

donde:

   

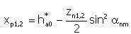
h a0 * = h a * + c * - r f * (1 - sin α t )

Corrección mínima sin entalladura

 

Corrección mínima sin entalladura

 

Ángulo de hélice en el extremo

 

sinβ e = sinβ m R m /R e

Ángulo de presión normal en el extremo

 

tanα ne = tanα t cosβe