Description: Defines the properties of bar elements (CBAR entry).
Format:
Example:
| Field | Definition | Type | Default |
|---|---|---|---|
| PID | Property identification number. | Integer > 0 | Required |
| MID | Material identification number. See Remark 2. | Integer > 0 | Required |
| A | Area of bar cross-section. | Real | Required |
| I1, I2, I12 | Area moments of inertia. (I1 ≥ 0.0, I2 ≥ 0.0, I1 * I2 > I12 2 ) | Real or blank | 0.0 |
| J | Torsional constant. | Real or blank | 0.0 |
| NSM | Nonstructural mass per unit length. | Real or blank | 0.0 |
| Ci, Di, Ei, Fi | Stress recovery coefficients. | Real or blank | 0.0 |
| K1, K2 | Area factors for shear. | Real or blank | See Remark 4 |
| C | Coefficient to determine torsional stress. | Real or blank | See Remark 6 |
| F0 | Preload. | Real or blank | 0.0 |
Remarks:
and
, respectively. The default values for K1 and K2 are infinite; in other words, the transverse shear flexibilities are set equal to zero. K1 and K2 are ignored if I12 > 0.0.
where the transverse shear stress is determined using:
and
and
are the element transverse shear forces and
and
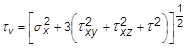
. The torsional stress is determined using:
where T is the torsional moment. The torsional stress coefficient, C, should be selected as the maximum wall thickness for open sections and the radius for circular sections.