Un problème de valeur propre généralisé est défini comme suit :
K φ - λM φ = 0,
où K, M désignent respectivement les matrices de rigidité et de masse, {φ, λ} - couples propres (mode de vibration naturel et valeur propre).
Deux types de vecteurs résiduels sont définis :

où {φ, λ} désigne les couples propres calculés avec certaines erreurs de calcul. La première expression définit un vecteur résiduel en termes de forces, tandis que la deuxième le définit en termes de déplacements.
Trois critères différents d’estimation des erreurs de calcul des vecteurs propres s’appliquent :


est effectuée dans chacune des 20 étapes de Lanczos pour le mode sismique. Le paramètre tol accessible dans la boîte de dialogue Paramètres de l’analyse modale est alors négligé.
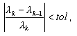
de la procédure des calculs. Le paramètre tol, accessible dans la boîte de dialogue Paramètres de l’analyse modale – Solveur Itératif, définit la limite supérieure pour ε, par conséquent ε ≤ tol est la condition de l’arrêt des itérations. Il ne faut pas confondre la précision avec la tolérance définie dans la boîte de dialogue Paramètres de l’analyse modale lors de l’utilisation des solveurs directs (skyline ou sparse) si le mode modal est sélectionné. La tolérance pendant les calculs est définie suivant la formule suivante :

où λk, λk-1 - deux valeurs propres successives pour le k-ième et k-1-ème pas de l’itération et tol - tolérance définie dans la boîte de dialogue Paramètres de l’analyse modale. La détermination de la précision définitive des calculs (1-3) est une procédure longue, elle est effectuée dans la phase finale de l’analyse modale en tant que vérification de la précision obtenue. Pour augmenter la précision des calculs, il faut réduire la valeur de la tolérance tol, ce qui entraîne l’augmentation du nombre d’itérations.
Si, après les calculs, la précision de certains modes n’est pas satisfaisante, il est nécessaire d’entreprendre les actions suivantes :
|
SOLVEURS DIRECTS |
SOLVEURS ITERATIFS |
|||
|---|---|---|---|---|
|
Itération dans le sous-espace, Itération dans le sous-espace par blocs, Méthode Lanczos |
Méthode de réduction de la base |
Méthode de Lanczos modifiée |
PCG_Ritz |
PCG |
|
Réduction de la valeur tol dans la boîte de dialogue Paramètres de l’analyse modale |
Agrandissement du nombre de nœuds de base et du nombre de directions de base |
Réduction de la valeur tol dans la boîte de dialogue Paramètres du solveur itératif et agrandissement du nombre de modes |
Agrandissement du nombre de modes |
Réduction de la valeur tol dans la boîte de dialogue Paramètres de l’analyse modale |
Rubrique connexe :