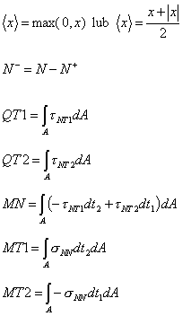
Efforts internes dans le tableau

Les forces résultantes équivalentes disponibles dans le tableau des résultats sont calculées d’après les formules suivantes :

<…> - (parenthèses de Macauley) ou l’opérateur de la partie positive exprimé en :