L’analyse de cet état peut être nécessaire si la participation des efforts horizontaux agissant sur la semelle est importante par rapport aux efforts axiaux. Cela peut mener à la destruction du sol due au glissement de la semelle sur le sol ou au glissement entre les couches des sols stratifiés, quand les couches inférieures sont plus faibles que les couches adhérant directement à la semelle.
Pour éviter la perte de la stabilité au glissement, il est recommandé d’appliquer les solutions suivantes :
Pendant l’analyse du glissement, l’attention est attirée sur le fait que la cohésion du sol adhérant directement à la semelle peut être modifiée lors des travaux d’exécution ou à cause de la position variable du miroir d’eau. Dans ces cas, il faut réduire la valeur de la cohésion du sol.
Pour toutes les normes (sauf ACI, CSA, DTU 13.12 et Fascicule no.62 - Title V), vous pouvez sélectionner l'option Glissement tenant compte de la poussée du sol. La poussée du sol (Pa) et la poussée passive (Pp) feront l'objet de calculs supplémentaires.

La hauteur du modèle de poussée est égale aux distances suivantes.
Conformément à la figure ci-dessus, la butée sera calculée suivant la formule ci-dessous.
Ce qui, pour la deuxième couche, est interprété comme ceci
.
Le calcul de la poussée passive totale du sol s'effectue comme suit.
Si le talus est chargé, dans les calculs il faut prendre en compte le composant :
La charge q doit être constante et est multipliée par le coefficient de majoration. L'algorithme de calcul de Pa est identique à P p .
L’utilisateur peut définir la charge sollicitant un quart déterminé de la semelle isolée. Dans ce cas, la poussée du sol agissant d’un côté donné sera calculée proportionnellement à la longueur du quart sélectionné.

L’utilisateur peut calculer le glissement avec la prise en compte de la poussée du sol simultanément pour les deux directions ou séparément pour chacune. Le choix est effectué dans la liste des directions X et Y, la direction X ou la direction Y.
Calculs pour les normes spécifiques
Le dimensionnement au glissement n’est pas disponible dans les normes en question. Si cette analyse est nécessaire, il faut vérifier la valeur manuellement.
La condition générale de la stabilité au glissement peut être présentée de la façon suivante :
H ≤ FROTTEMENT H
où :
FROTTEMENT H = V * tg(φ) + c * Ac
V – effort vertical
j - angle de frottement interne du sol
c – cohésion
Ac - Zone de contact semelle/sol.
A la suite du dimensionnement pour cet état limite, on obtient le coefficient de sécurité de la structure : FROTTEMENT H / H. Le quotient est supérieur ou égal à 1.
L’activation de l’analyse de cet état limite et la détermination de la valeur limite du coefficient est possible dans la boîte de dialogue Options géotechniques.
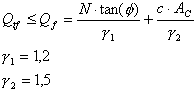
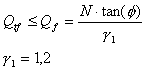
La condition générale de la stabilité au glissement peut être présentée de la façon suivante :
Qtf ≤ Qf = N * tg(ϕ) + c*Ac
où :
Qtf - force horizontale
N - effort vertical
ϕ - angle de frottement interne du sol, en admettant que la valeur tg(ϕ) ne dépasse pas 0.5
c – cohésion du sol (mais pas plus que 75 kPa)
Ac - Zone de contact semelle/sol.
Dans le cas des actions sismiques, conformément aux textes de la norme, la valeur de la cohésion du sol est négligée, ce qui réduit la formule pour le glissement à la forme suivante :
Dans le cas de l’analyse du glissement entre la semelle et le gros béton (non lié à la semelle par des attentes), on introduit le coefficient de frottement béton-gros béton dont la valeur est égale à 0.75.
Si les attentes assurant la liaison permanente de la semelle avec le gros béton sont présentes, cette condition n’est pas vérifiée.
A la suite du dimensionnement pour cet état limite, on obtient le coefficient de sécurité de la structure : Qtf / Qf. Ce quotient est supérieur ou égal à 1.0.
L’activation de l’analyse de cet état limite et la détermination de la valeur limite du coefficient est possible dans la boîte de dialogue Options géotechniques.
L’analyse du glissement est effectuée conformément au point 6.5.3.
Puisque la norme EC7 n’interdit pas la prise en compte de la cohésion du sol dans l’analyse du glissement 6.5.3 (8), il est possible d’utiliser partiellement ou totalement la cohésion en introduisant dans la formule un composant additionnel qui prend en compte la cohésion réduite.
où :
le coefficient j contenu dans l’intervalle <0.0, 1.0> peut être défini dans la boîte de dialogue Options géotechniques
A’ – surface de travail de la semelle (surface de contact semelle-sol)
c’ – cohésion de calcul effective du sol.
Dans le cas où le coefficient a la valeur 0.0, cette formule prend l’aspect comme dans la norme (6.3).
Sd = A' * cu.
De plus, si la surface de travail n’est pas égale à la surface de la semelle (le renversement a lieu), la condition (6.5) est vérifiée :
Sd < 0.4 Vd.
L’analyse du glissement est effectuée conformément au point 6.5.3.
La condition générale est décrite par la formule (6.2) :
Hd ≤ Rd + Rp;d
Rd = V'd * tgδ d
Conformément au point A.2 (2) relatif au coefficient γ φ , on admet que le coefficient de frottement calculé est :
Le paramètre tan d qui est un coefficient caractéristique de frottement sol/fondation est une propriété du sol intégrée à la base de données des sols, intitulée Coefficient de frottement.
Le paramètre tan d est pris en compte pour les fondations coulées directement sur le sol (conformément à la base des sols), où le paramètre doit être défini conformément à la norme relative à la base de l'angle de frottement en condition critique tan δ = tan φ cv 6.5.3 (10) i A.2(2). Après activation de l'option Fondations précoulées lisses 6.5.3 (10) dans la boîte de dialogue Options géotechniques 6.5.3 (10) et A.2 (2), la valeur du coefficient est calculée de la façon suivante :
Le code EC7 n'est pas recommandé pour prendre en compte la cohésion du sol dans l'analyse de glissement 6.5.3 (10), bien que le logiciel le permette. La cohésion du sol peut être utilisée totalement ou partiellement en ajoutant un élément à la formule (6.3 A) :
Rd = V'd * tgδ d + ξ * A c * c u
où :
le coefficient j contenu dans l’intervalle <0.0, 1.0> peut être défini dans la boîte de dialogue Options géotechniques
A’ – surface de travail de la semelle (surface de contact semelle-sol)
c’ – cohésion de calcul effective du sol.
Valeur par défaut du coefficient de réduction ξ = 0,0.
Rd = A c * c u;d
De plus, si la surface de travail n’est pas égale à la surface de la semelle (le renversement a lieu), la condition (6.5) est vérifiée :
Rd < 0.4 Vd.
La condition générale de la stabilité au glissement peut être présentée de la façon suivante :

où :
Qtf - force horizontale.
N - effort axial
φ - - angle de frottement interne du sol
c - cohésion du sol (mais pas plus que 75 kPa)
Ac - Zone de contact semelle/sol.
Dans le cas des actions sismiques, conformément aux textes de la norme, la valeur de la cohésion du sol est négligée, ce qui réduit la formule pour le glissement à la forme suivante :
Dans le cas de l’analyse du glissement entre la semelle et le gros béton (non lié à la semelle par des attentes), on introduit le coefficient de frottement béton-gros béton dont la valeur est égale à 0.75.
Si les attentes assurant la liaison permanente de la semelle avec le gros béton sont présentes, cette condition n’est pas vérifiée.
A la suite du dimensionnement pour cet état limite, on obtient le coefficient de sécurité de la structure : Qtf / Qf. Ce quotient est supérieur ou égal à 1.0.
L’activation de l’analyse de cet état limite et la détermination de la valeur limite du coefficient est possible dans la boîte de dialogue Options géotechniques.
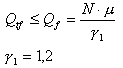
La norme PN-81/B-03020 [A3] ne définit pas directement la condition pour le glissement de la semelle. La description ci-dessous se réfère directement à la norme PN-83/B-03010 [A4]. La condition générale de la stabilité au glissement peut être présentée de la façon suivante :
pour la couche située au-dessous du niveau de contact :
où :
F r - Valeur de la force de déplacement.
N - Valeur de conception d'une force verticale au niveau de référence.
A' c - Aire réduite de la base de fondation.
ϕ - Angle de frottement interne du sol (de conception).
A c - Zone de contacte semelle/sol (réduite de la base de fondation).
μ - Coefficient de frottement semelle/sol.
c t - Valeur réduite de cohésion = (de 0.2 à 0.5) * cu.
c u - Valeur de conception de la cohésion du sol.
m – Coefficient de correction.
A la suite du dimensionnement pour cet état, on obtient le coefficient de sécurité de la structure :
L’activation de l’analyse de cet état limite et la détermination de la valeur limite du coefficient est possible dans la boîte de dialogue Options géotechniques.
La condition générale de la stabilité au glissement peut être présentée de la façon suivante :
où :
H – effort horizontal
γc - Coefficient environnemental.
γ n – Coefficient de fiabilité considérant la destination de la structure.
V – effort axial
φ - - angle de frottement interne du sol
c - cohésion du sol
Ac - Zone de contact semelle/sol.
As la suite du dimensionnement pour cet état, on obtient le coefficient de sécurité de la structure :
L’activation de l’analyse de cet état limite et la détermination de la valeur limite du coefficient est possible dans la boîte de dialogue Options géotechniques.