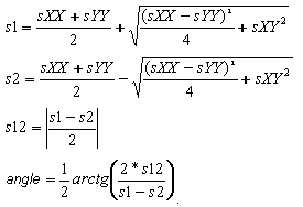
Formules définissant les valeurs principales et composées

Les valeurs principales sont calculées selon les formules suivantes :

Remarque : Les valeurs principales des moments M et des forces de membrane N sont définies en fonction des mêmes formules. La lettre S indiquant les contraintes est remplacée par les lettres M et N respectivement.

La valeur composée (réduite) 's' (von Mises) est calculée suivant la formule ci-dessous :

Remarque : Les valeurs des moments M et des forces de membrane réduites N sont définies en fonction de la même formule. La lettre S indiquant les contraintes est remplacée par les lettres M et N respectivement.