Az építőmérnökök különböző átmeneti íveket használnak. Ez azt a célt szolgálja, hogy két érintő és körív, illetve két eltérő görbületű körív esetén is fokozatos görbületet, illetve túlemelést tudjanak alkalmazni.
Más érintőkkel és ívekkel való kapcsolatát tekintve, minden átmenetiív vagy bemenő-, vagy kimenőív.
A mérnökök által az átmenetiívek tervezéséhez és elkészítéséhez leggyakrabban használt két paraméter az L (átmenetiív hossza) és az R (körív sugara).
A következő ábra az átmenetiívek különböző paramétereit szemlélteti:
| Átmenetiív-paraméter | Leírás |
| i1 | Az L1 átmenetiív központi szöge, azaz az átmenetiív szöge. |
| i2 | Az L2 átmenetiív központi szöge, azaz az átmenetiív szöge. |
| T1 | Az SP és az ÁÉ közötti egyenestávolság. |
| T2 | Az SP és az ÁE közötti egyenes távolság. |
| X1 | Az ÁÍ-Í és az ÁÉ közötti egyenes távolság. |
| X2 | Az ÍVÁV és az ÁE közötti egyenes távolság. |
| Y1 | Az ÁÍ-Í és az ÁÉ közötti egyenes eltolás távolság. |
| Y2 | Az ÍVÁV és az ÁE közötti egyenes eltolás távolság. |
| P1 | Az eltolt ív ÍE értéke és a kezdeti érintő közötti távolság. |
| P2 | Az eltolt ív ÍV értéke és a kezdeti érintő közötti távolság. |
| K1 | Az eltolt ÍE abszcissza az ÁE értékhez viszonyítva. |
| K2 | Az eltolt ÍV abszcissza az ÁE értékhez viszonyítva. |
| LT1 | A bemenő átmenetiív hosszú érintője. |
| LT2 | A kimenő átmenetiív hosszú érintője. |
| ST1 | A bemenő átmenetiív rövid érintője. |
| ST2 | A kimenő átmenetiív rövid érintője. |
| További átmenetiív paraméterek | |
| A1 | A P érték az átmenetív-hossz és a sugár szorzatának gyöke. Az átmenetiív laposságának egyik mérőszáma. |
| A2 | A P érték az átmenetív-hossz és a sugár szorzatának gyöke. Az átmenetiív laposságának egyik mérőszáma. |
Képlet
A kosár-átmenetiívek lehetővé teszik az átmenetet két eltérő sugarú körív között. Akárcsak az egyszerű átmenetiívek, ez is lehetővé teszi, hogy folyamatos maradjon a görbület függvény, és sima legyen a túlemelés-átmenet.
Bár az Autodesk Civil 3D program az átmenetiívek több típusát is támogatja, a leggyakrabban használt típus a klotoid átmenetiív. A klotoid átmenetiívet világszerte használják autópályák és sínpályák tervezése során.
Ezt a görbét elsőként a Leonard Euler svájci matematikus vizsgálta meg. A klotoid görbületi függvénye olyan típusú, hogy az átmenetiív és az érintő találkozásánál a görbület zérus (0) értékű legyen. A görbület lineárisan növekszik egészen addig, amíg el nem éri a szomszédos görbe görbületi értékét abban a pontban, ahol az átmenetiív és a z ív találkoznak.
Az ilyen nyomvonal lehetővé teszi, hogy a helyfüggvény és első deriváltja (lokális azimut) folyamatosak legyenek, akárcsak az érintők és az ívek az ívvégpontokban (ÍE). Az egyszerű ívekkel ellentétben a klotoid görbének azonban a második deriváltja (lokális görbület) is folyamatos, amely nagy sebességeknél fontos.
Képlet
A klotoid átmenetiíveket a következőképpen lehet kifejezni:
Átmenetiív lapossága:
Az átmenetiív által bezárt teljes szög:
Az egyenes távolság az átmenetiív-ív és az érintő-átmenetiív pontok között:
Az egyenes eltolási távolság az átmenetiív-ív és az érintő-átmenetiív pontok között:

A klotoid helyett az ötödfokú parabolákat tartalmazó Bloss átmenetiív is használható átmenetként. Ennek az átmenetiívnek az az előnye, hogy az eltolt P értéke kisebb, ezért hosszabb az átmenet, és nagyobb az átmenetiív túlnyúlása (K). Ez a tényező sínpályák tervezésénél fontos.
Képlet
A Bloss átmenetiíveket a következőképpen lehet kifejezni:

További fontos kifejezések:
Az egyenes távolság az átmenetiív-ív és az érintő-átmenetiív pontok között:

Az egyenes eltolási távolság az átmenetiív-ív és az érintő-átmenetiív pontok között:
Ezek a görbék konzisztens görbületi irányokat mutatnak, és a 0 és 90 fok közötti érintő iránytörések átmeneteként alkalmazhatók. A szinuszos ívek használata azonban nem gyakori, mivel meredekebbek, mint egy valódi átmenetiív, ezáltal nehéz azokat tabulálni és kitűzni.
Képlet
A szinuszos íveket a következőképpen lehet kifejezni:

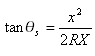
ahol r a görbület sugara bármely pontban.
Ezt a képletet Japánban használják a vasúti pályák tervezése során. Ezt az ívet abban az esetben érdemes használni, ha a (jármű dinamikájához képest) kis iránytörési szögek esetén hatékony átmenetet kell létrehozni, mert megváltozik a pálya görbülete.
Képlet
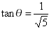
Az eltűnő szinusz félhullám érintő íveket a következőképpen lehet kifejezni:
ahol
és x a kezdőponttól az ív bármely pontjáig, a (kiterjesztett) kezdő érintő mentén mért távolság; X az átmeneti görbe végében a teljes X.
További fontos kifejezések:
Az egyenes távolság az átmenetiív-ív és az érintő-átmenetiív pontok között:

Az egyenes eltolási távolság az átmenetiív-ív és az érintő-átmenetiív pontok között:

A harmadfokú parabolák kevésbé intenzíven tartanak össze, mint a harmadfokú átmenetiívek, amely a vasút és autópálya tervezésben megkönnyíti azok használatát.
Képlet
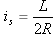
A harmadfokú parabola minimális sugara
A harmadfokú parabola bármely pontjában mért sugara:
A harmadfokú parabola a minimális r sugara:
Így
A harmadfokú parabola sugara végtelentől kezdődően
24 fok, 5 perc, 41 másodperc szögig csökken, majd ettől kezdve újra növekszik. Emiatt a harmadfokú parabolák a 24 foknál nagyobb iránytörések esetén használhatatlanok.
Ezt az átmentet a Japánban érvényes követelményekhez fejlesztették ki. A klotoid görbék közelítésére számos módszert kifejlesztettek. Ezeket olyan esetekben lehet használni, amikor nem küszöbölhető ki egy kis iránytörési szög, vagy egy nagy sugár. Ezen közelítések egyike a Japánban használt Harmadfokú (JP).
Képlet
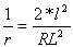
A Harmadfokú (JP) a következőképpen fejezhető ki:
Ahol X = az átmenetiív - ív pont és az érintő-átmenetiív pont közötti távolsággal
A képletet a következőképpen is le lehet írni:

Ahol
az átmenetiív központi szöge (az ábrán i1-el és i2-vel jelölve)
További fontos kifejezések:
Az egyenes távolság az átmenetiív-ív és az érintő-átmenetiív pontok között:

Az egyenes eltolási távolság az átmenetiív-ív és az érintő-átmenetiív pontok között:
Ez egy, az New South Wales-i (ausztráliai) szabványoknak való megfelelés érdekében módosított harmadfokú parabola.
Képlet
Az NSW harmadfokú parabola a következőképpen fejezhető ki:
Ahol:
Φ = az R-nél levő végső sugárirányú vonal és a kezdeti érintőre merőleges vonal által bezárt szög.
R = az ív sugara
Xc = az adott átmenetiív teljes X értéke
A negyedfokú (Schramm) átmenetiívek alacsony értékű függőleges gyorsulással rendelkeznek. Két másodfokú parabolából épül fel, amelyek sugarai az ívhossz funkciójától különböznek.
Egyszerű ív képlet
Az első parabola görbülete:
ahol
A második parabola görbülete:
ahol
Ez az ív az átmeneti körív felhasználó által megadott hosszúságából (L) adódik.
Kosárív képletek
Az első parabola görbülete:
ahol
A második parabola görbülete:
ahol