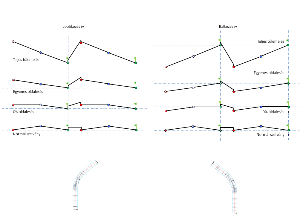
A következő illusztráció a Jobb oldali elforgatás módszerét írja le egy osztott tetőszelvényes útra.
A torzított középvonal azt jelenti, hogy túlemelés alkalmazáskor a középvonal szélessége nem változik, de az egyik oldal megemelkedik vagy lesüllyed, hogy igazodjon a túlemeléshez. Ez a beállítás eltorzítja a középvonal alakját és a
forgáspontok megtartják eredeti pozíciójukat.
A túlemelési diagramok magyarázatáért lásd: Információk a túlemelések forgástengelyének elforgatási módszereiről.
