Autodesk Civil 3D consente di calcolare valori a partire dalla definizione geometrica di un raccordo altimetrico, dalle informazioni relative al vertice altimetrico, nonché dall'altezza oggetto e visuale.
Questi valori vengono dedotti da equazioni empiriche e non tengono conto della velocità di progetto.
In un raccordo convesso, vengono utilizzate le distanze di visibilità per il sorpasso e l'arresto poiché un picco di curva può ostruire la visuale della superficie stradale o di un altro oggetto da parte di un guidatore.
Le distanze di visibilità per il sorpasso e per l'arresto non vengono utilizzate per un raccordo concavo perché non è presente alcun picco di curva che ostruisce la visuale della superficie stradale o di un altro oggetto da parte di un guidatore. Con luce diurna e con una buona visibilità, il guidatore ha una vista completa della strada su un raccordo concavo. Di notte, tuttavia, il guidatore può vedere solo fino alla distanza del fascio della luce anteriore. Per progettare un raccordo concavo, è possibile utilizzare la distanza di visibilità delle luci anteriori.
In Autodesk Civil 3D 2020, è possibile visualizzare tali proprietà mediante l'Editor componenti di testo. Nella scheda Impostazioni dell'Area strumenti, espandere Profilo
Stili etichetta
Curva. Fare doppio clic sullo stile etichetta di default per raccordi convessi e concavi. Fare clic sulla scheda Layout. In Nome componente, selezionare un elemento, ad esempio BVC. Nell'Editor componenti di testo, fare clic sulla freccia a discesa in Proprietà per visualizzare l'elenco delle proprietà disponibili. Scorrere verso il basso per visualizzare proprietà quali Distanza di visibilità luci anteriori, Distanza di visibilità per il sorpasso e così via.
La distanza di visibilità per il sorpasso è la distanza necessaria ad un guidatore per vedere un veicolo in arrivo, in modo da determinare se la distanza è sufficiente per consentire una corsia di sorpasso. La distanza di visibilità per il sorpasso non viene utilizzata molto nella progettazione di raccordi convessi perché la lunghezza della curva necessaria a soddisfare i criteri di visibilità per il sorpasso è in genere troppo elevata.
La distanza di visibilità per l'arresto, un criterio ampiamente utilizzato per determinare la lunghezza della curva, rappresenta la distanza necessaria ad un guidatore per vedere un eventuale pericolo sulla superficie della sezione stradale. Le linee guida nazionali determinano i requisiti di distanza di visibilità per il sorpasso e per l'arresto.
Le seguenti equazioni calcolano le lunghezze di raccordo convesso utilizzando le distanze di visibilità per il sorpasso e per l'arresto.
dove:
L = Lunghezza del raccordo altimetrico in piedi (o metri)
S = Distanza di visibilità in piedi (o metri)
A = Differenza algebrica in percentuale pendenza (%)
h1 = Altezza dell'occhio dell'osservatore sopra la superficie stradale in piedi (o metri)
h2 = Altezza dell'oggetto sopra la superficie stradale in piedi (o metri)
La seguente equazione viene risolta per L se S è minore di L:

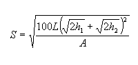
La seguente equazione viene risolta per S se S è minore di L:

La seguente equazione viene risolta per L se S è maggiore o uguale a L:

La seguente equazione viene risolta per S se S è maggiore o uguale a L:

Di notte, il fascio di luce delle luci anteriori di un veicolo definisce la distanza di visibilità. Un raccordo concavo intercetta un fascio di luci anteriori sulla superficie stradale e limita la lunghezza del fascio. La distanza di visibilità luci anteriori misura la parte superiore del fascio delle luci anteriori al di sopra della pavimentazione e l'angolo massimo delle luci anteriori, in modo da determinare la lunghezza della curva. Viene inoltre considerata l'altezza della visuale del guidatore.
Per creare raccordi concavi vengono utilizzate le seguenti equazioni di distanza di visibilità luci anteriori:
dove:
A = Differenza algebrica in percentuale pendenza (%)
hd = altezza del fascio di luci anteriori al di sopra della pavimentazione in piedi (o metri)
L = Lunghezza del raccordo altimetrico in piedi (o metri)
S = Distanza di visibilità in piedi (o metri)
Ø = angolo di curvatura verso l'alto del fascio di luci anteriori dalla orizzontale (in genere 1 grado)
La seguente equazione viene risolta per L se S è minore di L:

La seguente equazione viene risolta per S se S è minore di L:

La seguente equazione viene risolta per L se S è maggiore o uguale a L:

La seguente equazione viene risolta per S se S è maggiore o uguale a L:
