Mozzo separato: formule per il calcolo imperiale

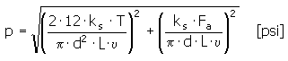
Pressione di contatto

Lunghezza minima del mozzo

Valori consigliati: L = (0,6 - 3) d

Forza sostenuta da un bullone

Verifica della resistenza

p p A

dove:

 

F a

forza assiale [lb]

 

T

momento [lb ft]

 

d

diametro albero [in]

 

p

pressione di contatto in un giunto [psi]

 

p A

pressione ammissibile [psi]

 

L

lunghezza mozzo [in]

  υ

fattore di bloccaggio υ = tra 0,008 e 0,1 [-]

 

k s

sicurezza di scorrimento [-]

 

F

forza sostenuta da un bullone [lb]

 

F s

forza sostenuta da tutti i bulloni [lb]

 

i

numero totale di bulloni [-]