The method of calculating deep beams is based on the following presented principles, as defined in Appendix E5 to the French BAEL 91 code.
The following symbol definitions have been adopted in the description of the methods of calculating reinforcement area for deep beams:
|
lt |
Deep beam length in the axes of supports. |
|
lo |
Deep beam length at the face of supports. |
|
l |
Calculation length of the deep beam = min(lt; 1,15lo). |
|
h |
Deep beam height. |
|
bo |
Deep beam width. |
|
z |
Arm of internal forces. |
|
p |
An uniform load, recognizing load coefficients for constant and variable loads. |
|
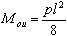
|
A moment originating from the "p" load. |
|
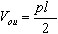
|
Shear force originating in the operation of "p" load. |
![]() |
Shear stress equal: ![]() |
See also