これらの式は、複数の支持や荷重を使用してシャフト(1 つまたは複数の断面がある)または梁(1 つの一定の断面がある)のいずれかの解を求めるのに使用されます。
シャフト/梁の軸は Z 軸と位置合わせされます。材料密度の影響が計算に含まれている場合、重力ベクトルは Y 軸と位置合わせされます。
せん断力:
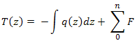
曲げモーメント:
たわみ角度:
ここで
|
E |
引張状態における弾性係数 |
|
|
J |
慣性モーメント |
|
|
G |
横弾性係数 |
|
| β |
せん断変位率 |
たわみ:
曲げ応力:
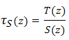
せん断応力:
ねじり応力:
引張応力:
減少応力:
ここで
| σ B | 曲げ応力 | |
| σ T |
引張応力 |
|
| τ | ねじり応力 | |
| τ S | せん断応力 | |
| α | α = 3 (HMH の場合) | |
| α = 4 (Tresca-Guest の場合) |
計算例
引張弾性係数 E = 210 000 MPa
横弾性係数 G = 81 000 MPa
せん断変位率β = 1.118
減少応力のモード: HMH
材料密度を含めないでください。
支持力:
最大せん断応力:
最大ねじり応力:
最大モーメント:
最大曲げ応力:
最大減少応力:
ねじり角: