V ベルトの強度チェック

必要になるベルト数を決定したり、単にベルト駆動の強度チェックをする場合、アプリケーションはベルト定格動力と伝動力とを比較します。ベルト定格動力を求めるには、基本ベルト定格動力を用い、指定ベルト駆動レイアウトから求めた特定係数によって修正します。

基本ベルト定格動力 P BR

基本ベルト定格動力は、XML データ テーブルに定義されデザイン データ フォルダに格納されている公式から求められます。V ベルト ジェネレータ内の各ベルトについては、すべてのベルトの利用可能サイズや必要となる機械的特性と一緒に、特定の XML ファイルに記載されています。基本動力公式およびそこで用いる係数は、標準勧告から採用されており、実際のメーカーのデータとは異なる場合があります。ユーザは基本ベルト定格動力のカスタマイズが可能で、ベルト製造メーカーのカタログから実際のデータを入力できます。通常、標準勧告の定格動力は控えめに出しており、ベルト メーカーと互換できるレベルである可能性があります。ただしベルト駆動は過剰な設計になっていることがあります。

一般的に基本ベルト定格動力は、速度、ピッチ円直径、および最小プーリ(駆動プーリまたは被駆動プーリ)の速度比の関数です。

P RB = F(n j , D Pj , i j )

注: 指数 j は、あるベルト駆動内での最小駆動プーリまたは最小被駆動プーリの指数を示しています。

ベルト定格動力 P R

P R = P RB c 1 c 3 c 4 c 5

結果の稼動係数

結果のサービス係数 C PR < C p の場合、強度チェック失敗

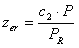
必要なベルト数

過剰張力検査

ベルトの最大許容張力は次のように求められます。

F max < F t max または F max < F t の場合、強度チェック失敗

有効なベルト速度および柔軟頻度検査

ベルト柔軟頻度が f b > f max の場合、効率が低下し、ベルトの損傷が早まる可能性があります。エラー警告が表示されます。

ベルト速度が v > v max の場合、ベルトはその速度に耐えられるよう設計されていないためエラー警告が表示されます。

使用される変数の意味:

f max

最大ベルト柔軟頻度[Hz]

f b

指定ベルト駆動のベルト柔軟頻度[Hz]

n

指定のプーリの速度[rpm]

D P

平プーリの呼び径および外径[m]

i

指定のプーリの動力比(速度比) [-]

c 1

接触円弧補正係数[-]

c 2

稼働係数[-]

c 3

ベルト長さ修正係数[-]

c 4

ベルト数補正係数[-]

c 5

プーリ数補正係数[-]

z

ベルト数[-]

P R

指定トランスミッション レイアウトのベルト定格動力[W]

P

伝達する動力[W]

v

ベルト速度[m/秒]

v max

最大許容ベルト速度[m/s]

注: 指数 j は、あるベルト駆動内での最小駆動プーリまたは最小被駆動プーリの指数を示しています。

基本ジオメトリの計算