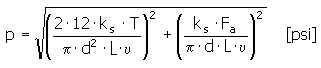
接触圧力
ハブの長さの最小値
推奨値: L = (0.6 - 3) d
1 本のボルトの載荷力
強度チェック
p ≤ p A
ここで
|
F a |
スラスト荷重[lb] |
|
|
T |
トルク[lb ft] |
|
|
d |
軸径[インチ] |
|
|
p |
ジョイントにおける接触圧力[psi] |
|
|
p A |
許容圧力[psi] |
|
|
L |
ハブの長さ[インチ] |
|
| υ |
締付け係数 υ = 0.008~0.1 [-] |
|
|
k s |
すべり安全率[-] |
|
|
F |
1 本のボルトの載荷力[lb] |
|
|
F s |
すべてのボルトの載荷力[lb] |
|
|
i |
ボルトの合計数[-] |