ExposureContrast 要素はイメージの露出の調整と、明るいカラーと暗いカラーの間のコントラストの変更を行います。
Academy/ASC XML カラー変換形式に対するオートデスクの拡張機能です。
カラー変換が表示用に使用される場合、CTF ファイルに少なくとも 1 つの DynamicParameter サブ要素を持つ ExposureContrast 要素がある限り、アプリケーションに応じてユーザが露出とコントラストをインタラクティブに調整できます。この場合、ECParams サブ要素で定義される対応するパラメータ値は表示用にのみ無視され、代わりにアプリケーションで設定された値が DynamicParameter サブ要素を持つ ExposureContrast 要素によって発生する変換チェーンの各ポイントに適用されます。
バージョン 1.2
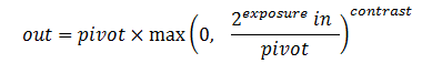
値 | 意味 |
---|---|
"linear" |
![]() |
"video" |
![]() |
"log" |
![]() |
<ProcessList id="561c5aba-8709-477c-8211-7ec4a6fe8820"> <ExposureContrast inBitDepth="16f" outBitDepth="32f" style="linear"> <ECParams exposure="0.65" contrast="1.2" pivot="1" /> <DynamicParameter param="EXPOSURE" /> <DynamicParameter param="CONTRAST" /> </ExposureContrast> </ProcessList>