mag

ベクトルのマグニチュードを返します。サイズとは、ベクトルの長さです。

float mag(vector vector)

vector はマグニチュードを求めるベクトルです。

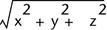
mag 関数は次の式を使用して、ベクトルを浮動小数点数に変換します。

mag(<<7,8,9>>)

13.928 を返します。