NOLIN4

Nonlinear Transient Load as a Negative Variable Raised to a Power

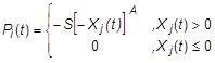
Description: Defines nonlinear transient forcing functions of the form

where may be the displacement or a velocity at point GJ in the direction of CJ.

Format:

Example:

Field Definition Type Default
SID Nonlinear load set identification number. Integer > 0 Required
GI Grid, scalar, or extra point identification number at which nonlinear load is to be applied. Integer > 0 Required
CI Component number for GI. 0 ≤ Integer ≤ 6 Required
S Scale factor. Real Required
GJ Grid, scalar, or extra point identification number. Integer > 0 Required
CJ Component number for GJ. 0 ≤ Integer ≤ 6 Required
A Exponent of the forcing function. Real Required

Remarks:

  1. Nonlinear loads must be selected with the Case Control Section (NONLINEAR = SID).
  2. Nonlinear loads may not be referenced on a DLOAD entry.
  3. Nonlinear loads may be a function of displacement () or velocity (). Nonlinear loads as a function of velocity (equation 2 above) are denoted by component numbers ten times greater than the actual component number. For example, a component number of 11 is component 1 for velocity.
  4. Use a NOLIN3 entry for the positive range of .