사용자 전개 방정식을 편집하려면

사용자 방정식을 사용하여 접힌 판금 부품 모형 내에서 절곡부 영역을 얼마나 평평하게 만들지 정확하게 지정합니다.

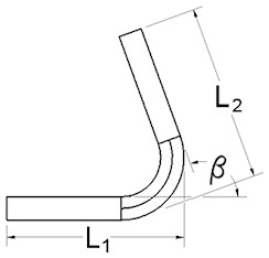
판금 부품은 접힌 상태 또는 기능 상태에 의해 정의되지만 플랫 시트에서 조립됩니다. 플랫 패턴을 형성하도록 전개되는 절곡부는 절곡부 영역 내의 재질을 변형합니다. 변형의 정도는 몇몇 변수에 따라 다릅니다. 접힌 모형을 평평한 상태로 변형하려면 다음 세 가지 방법 중 하나를 사용하여 이 변형의 이유를 설명해야 합니다.

이러한 사용자 방정식은 스타일 및 표준 편집기 대화상자를 사용하여 정의되는 명명된 전개 규칙 내에 정의됩니다.

절곡부 보정 유형

총 전개 길이를 결정하기 위해 절곡부 보정 방정식을 사용합니다.

설명:
  • . 총 전개 길이입니다.
  • . 첫 번째 상세 면에서부터 가상선까지의 길이입니다.
  • . 두 번째 상세 면에서부터 가상선까지의 길이입니다.
  • . 절곡부 허용 오차 계산의 결과입니다. Inventor에서는 다음 방정식을 사용하여 절곡부 허용 오차를 계산합니다. 각도의 경우 이면 Inventor에서는 방정식을 사용합니다. 이 때, 각 항목은 다음과 같습니다.
    • . 절곡부 각도입니다.
    • . 절곡부 허용 오차 길이입니다.
    • . 절곡부 판 내부 반지름입니다.
    • . 시트 두께입니다.
    • . 절곡부 허용 오차 계산의 결과입니다.

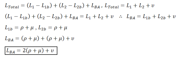
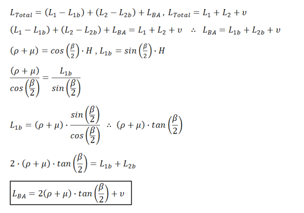
절곡부 허용 오차를 포함하도록 원래 방정식을 확장할 때의 결과:

각도의 경우 이면 다음 방정식을 사용합니다.

절곡부 허용 오차를 포함하도록 원래 방정식을 확장할 때의 결과:

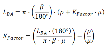
절곡부 허용 오차가 결정된 후 다음을 사용하여 K 계수를 파생할 수 있습니다.

절곡부 감소 유형

총 전개 길이를 결정하기 위해 절곡부 감소 방정식을 사용합니다.

설명:
  • . 총 전개 길이입니다.
  • . 첫 번째 상세 면에서부터 가상선까지의 길이입니다.
  • . 두 번째 상세 면에서부터 가상선까지의 길이입니다.
  • . 절곡부 허용 오차 계산의 결과입니다.

절곡부 감소 방정식을 통해 절곡부 보정 방법과 완전히 반대인 계산 방법을 얻을 수 있습니다.

절곡부 감소의 경우 Inventor에서는 다음 방정식을 사용하여 절곡부 허용 오차를 계산합니다.

각도의 경우:

방정식은 입니다. 이 경우 각 항목은 다음과 같습니다.
  • . 절곡부 각도입니다.
  • . 절곡부 허용 오차 길이입니다.
  • . 절곡부 판 내부 반지름입니다.
  • . 시트 두께입니다.
  • . 절곡부 허용 오차 계산의 결과입니다.

각도의 경우 이면 방정식이 사용됩니다.

절곡부 허용 오차 유형

총 전개 길이를 결정하기 위해 절곡부 허용 오차 방정식 을 사용합니다. 여기서 각 항목은 다음과 같습니다.
  • . 총 전개 길이입니다.
  • . 첫 번째 절곡부 판의 길이입니다.
  • . 두 번째 절곡부 판의 길이입니다.
  • . 절곡부 허용 오차 계산의 결과입니다.

정의된 방정식이 제공되어 절곡부 허용 오차가 즉시 해결됩니다. K 계수는 다음 방정식을 통해 파생됩니다.

K 계수 유형

K 계수를 사용하여 전개되는 총 길이를 결정하는 방법은 다음 방정식을 사용합니다.

설명:
  • . 총 전개 길이입니다.
  • . 첫 번째 절곡부 판의 길이입니다.
  • . 두 번째 절곡부 판의 길이입니다.
  • . 절곡부 허용 오차 계산의 결과입니다.

절곡부 허용 오차는 다음 방정식을 사용하여 계산됩니다.

사용자 전개 방정식 편집

명명된 전개 규칙을 편집하는 동안 4가지 유형의 사용자 방정식을 정의할 수 있습니다.

스타일 및 표준 편집기 대화상자에서 선택한 방정식 유형에 따라 방정식 왼쪽을 정의하는 변수가 결정됩니다. 방정식 편집 대화상자의 문자 삽입 키는 각도, 반지름, 두께 및 Pi에 대해 클릭 한 번으로 삽입할 수 있습니다.

방정식 편집기 대화상자를 열기 전에 변수 유형이 스타일 및 표준 편집기 대화상자에서 선택된 방정식 유형에 의해 정의됩니다.

  1. 스타일 및 표준 편집기 대화상자에서 선택한 전개 방법이 사용자 방정식인 경우 사용자 방정식을 정의하려는 경계 조건의 왼쪽의 사용자 방정식 셀을 두 번 클릭합니다.
  2. 방정식 편집 대화상자에서 방정식 입력 상자의 외부에 표시되는 다음 변수를 정의하는 방정식을 입력합니다.
    • . 측정된 각도 변수를 사용자 전개 방정식에 삽입합니다.
    • . 측정된 내부 반지름 변수를 사용자 전개 방정식에 삽입합니다.
    • . 측정된 두께 변수를 사용자 전개 방정식에 삽입합니다.
    • . Pi의 수학 값을 사용자 전개 방정식에 삽입합니다.
    • 방정식 입력 필드에서는 키보드 입력을 통해 사용자 전개 방정식을 정의할 수 있습니다.
  3. (선택 사항) 사용자 방정식이 해결하는 변수 유형을 변경하려면 취소를 클릭한 다음 스타일 및 표준 편집기 대화상자에서 올바른 방정식 유형을 선택합니다.

사용자 전개 방정식 경계 조건 편집

경계 편집 대화상자를 통해 경계 조건을 지정하여 각도, 반지름 또는 두께 범위에 대한 전개 방정식을 정의할 수 있습니다.

  1. 스타일 및 표준 편집기 대화상자에서 전개 방법으로 사용자 방정식을 선택한 경우 경계 조건을 정의하기 위한 사용자 방정식의 오른쪽에 있는 경계 조건 셀을 두 번 클릭합니다.
  2. 경계 편집 대화상자에 있는 드롭다운 리스트의 위쪽 행에서 동등 연산자와 범위 유형을 선택하여 각도, 두께 또는 반지름에 대한 범위를 지정하는 방정식을 작성합니다.
  3. 아래쪽 행의 왼쪽과 오른쪽에 있는 상자에 경계 조건 제한 값을 입력합니다.