천장 위 공간은 환기 경로로 사용되는 경우 천장 환기 천장속입니다. 기존 덕트 순환과 달리 천장속에는 경로에 여러 열원이 있을 수 있습니다. 이러한 열원은 조명 및 변압기, 인접한 벽, 지붕 또는 유리, 천장속 내 덕트 또는 파이프 시스템의 방사 및 대류성 부하입니다.
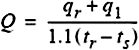
다음 계산식은 엔진에서 천장속에 대해 온도 및 열 전송이 계산되는 방식을 보여줍니다.
(35)
(36)
(37)
(38)
(39)
여기에서
= 천장속에서 공간으로 천장을 통한 열 증가(Btu/h)
= 천장속에서 위 바닥을 통한 열 손실(Btu/h)
= 환기에 의한 열 취득 "회복"(Btu/h)
= 순환 기류(Btu/h)
= 천장속으로 환기를 통한 가벼운 열 증가(Btu/h)
= 공간으로 가벼운 열 증가(Btu/h)
= 아래 천장속에서 바닥을 통한 열 증가(Btu/h)
= 외부 벽에서 열 증가(Btu/h)
=
,
및/또는
의 적절한 처리를 포함한 공간 냉방 부하(Btu/h)
= 천장속 온도(°F)
= 공간 온도(°F)
= 위 바닥의 공간 온도(°F)
= 공급 온도(°F)

일반적인 환기 천장속의 다이어그램