Symulacja obciążenia wiatrem nie zapewnia całkowicie stabilnych wyników, ponieważ jest to dynamiczny proces zmieniający się w czasie.
Aby rozwiązać ten problem, program mierzy wypadkową zbieżność całkowitych sił wypadkowych w określonym przedziale czasu.
.
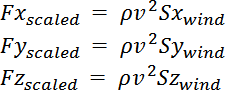
. Siły wypadkowe zależą od wielkości modelu. Aby prawidłowo skalować siły wypadkowe, program wykorzystuje ciśnienie dynamiczne
i wartości powierzchni
,
i
.
Wartości powierzchni są używane do skalowania odpowiednich sił.
To podejście pozwala zneutralizować dysproporcje modelu w kierunkach wiatru X, Y i Z.
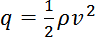
oznacza nacisk dynamiczny podawany w paskalach.
określa gęstość płynu w kg/m3.
określa prędkość płynu w m/s.
odpowiada obszarowi pokrywanemu przez rzutowanie wszystkich trójkątów modelu na płaszczyznę prostopadłą do osi X kierunku wiatru.
odpowiada obszarowi pokrywanemu przez rzutowanie wszystkich trójkątów modelu na płaszczyznę prostopadłą do osi Y kierunku wiatru.
odpowiada obszarowi pokrywanemu przez rzutowanie wszystkich trójkątów modelu na płaszczyznę prostopadłą do osi Z kierunku wiatru. Siły skalowane są obliczane w następujący sposób:

Aby zmierzyć zbieżność sił całkowitych w określonym okresie czasu, siły wypadkowe
,
i
są obliczane i przechowywane dla liczby kroków n, a następnie maksymalna zmiana w danej chwili jest obliczana w następujący sposób:

Gdzie
,
i
oznaczają przechowywane wartości
,
i
dla danego kroku, a dla i = 1 do n.
Te zmiany siły maksymalnej są następnie skalowane odpowiednio według
,
i
i wyświetlane w postaci procentowej.
Ostateczny wynik jest maksymalną z tych trzech skalowanych wartości:

Gdzie
= 0,5%, tj. domyślny współczynnik odchyłki obciążenia.
n oznacza liczbę etapów symulacji, dla których
,
i
są przechowywane w celu porównania z bieżącym krokiem. Domyślna wartość n wynosi 10.