Podstawowe wymiary ściany pokazano na poniższym rysunku.

Zakłada się, że:
a ≥ 10 cm — ściany wewnętrzne
a ≥ 12 cm — ściany zewnętrzne
Poszczególne kroki algorytmu obliczeń dla ścian pod działaniem obciążeń nie—sejsmicznych są następujące:
= ściana niezbrojona

= ściana zbrojona
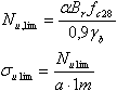
jeśli λ ≤ 50, to

jeśli 50 ≤ λ < 80, to
= ściana niezbrojona

= ściana zbrojona

Sprawdzenie warunku nośności ściany odbywa się dla trzech poziomów weryfikacji. Wymiarowanie oraz weryfikacja nośności ściany zbrojonej przebiega w pasmach, których szerokość zależna jest od geometrii ściany (z uwzględnieniem otworów) oraz charakteru wykresu naprężeń w ścianie. Maksymalna szerokość poszczególnych pasm obliczana jest zgodnie z punktem 4,224 normy DTU 23.1. Podział na pasma uwzględnia koncentracje naprężeń, obszary rozciągania betonu oraz takie charakterystyczne punkty jak słupki międzyokienne.
Zbrojenie w danym paśmie jest obliczane w odniesieniu do średniego lub maksymalnego naprężenia na szerokości pasma, w zależności, czy mamy do czynienia ze ściskaniem, czy rozciąganiem.
Kolejne kroki obliczeń przebiegają z uwzględnieniem nośności odpowiednio ściany zbrojonej lub niezbrojonej.
Sprawdzenie warunku nośności ściany odbywa się dla dolnego poziomu ściany. Nośność przekroju ściany sprawdzana jest dla obciążeń zredukowanych pionowych, a ewentualne zbrojenie jest równomiernie rozłożone w całym przekroju.
Kolejne kroki obliczeń przebiegają z uwzględnieniem nośności odpowiednio ściany zbrojone lub niezbrojonej
Minimalny stopień zbrojenia pionowego w ścianie musi wynosić:
Zbrojenie poziome spełnia warunek dotyczący stopnia zbrojenia:
(zbrojenie jest rozłożone równomiernie wzdłuż wysokości ściany)
W metodzie uproszczonej wpływ zginania uwzględniony jest w każdym punkcie ściany poprzez analizę liniowego wykresu naprężeń, a zbrojenie przykrawędziowe pionowe generowane jest jedynie jako konstrukcyjne. ‘Ukryte słupki’ przykrawędziowe powstają poprzez wygenerowanie prętów poprzecznych, spinających rozłożone zbrojenie pionowe na szerokości d’ (dla ścian niesejsmicznych wymiar ten jest równy max (a;20cm))
Zgodnie z założeniem metody zbrojenie to obliczane jest na przeniesienie zginania ze ściskaniem; generowane jest w ‘ukrytym słupku’ o szerokości równej d’.
Zbrojenie na ścinanie biegnące przez całą długość ściany musi spełniać następujący warunek:
gdzie:
At — powierzchnia zbrojenia
a, s — grubość ściany oraz rozstaw prętów poziomych
k — współczynnik uwzględniający wpływ naprężeń normalnych do płaszczyzny ścinania
Zbrojenie przeciwskurczowe:
= pionowe
= poziome
Patrz również: Rodzaje zbrojenia generowanego dla ścian żelbetowych