Obciążenia zmienne

0

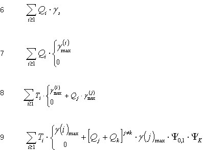
Brak reguły. Używane, gdy reguła w formule kombinacji dla danego typu obciążenia nie jest zdefiniowana.

Reguła nie bierze pod uwagę podnatur.

Uwaga: Formuła zezwala na jeden współczynnik ψ 0,1 i jeden współczynnik ψK dla wszystkich podnatur.
Uwaga: Formuła zezwala na jeden współczynnik ψ 0,1 i jeden współczynnik ψK dla wszystkich podnatur.
Uwaga: Formuła zezwala na jeden współczynnik ψ 0,3 dla wszystkich podnatur.
Uwaga: Formuła zezwala na jeden współczynnik ψ 0,3 i jeden współczynnik ψK dla wszystkich podnatur.
Uwaga: Formuła zezwala na jeden współczynnik ψ 0,1 i jeden współczynnik ψK dla wszystkich podnatur.
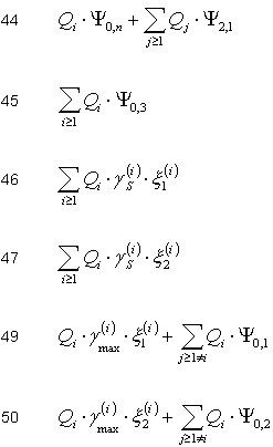
Uwaga: Formuła zezwala na jeden współczynnik ψ 0,2 i jeden współczynnik ψ2,n dla wszystkich podnatur.
Uwaga: Formuła zezwala na jeden współczynnik y 0,3 i jeden współczynnik ψ0,2 dla wszystkich podnatur.
Uwaga: Formuła zezwala na jeden współczynnik ψ 0,3 i jeden współczynnik ψ0,2 dla wszystkich podnatur.
Uwaga: Formuła zezwala na jeden współczynnik ψ 0,3 i jeden współczynnik ψ0,2 dla wszystkich podnatur.
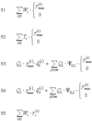
Uwaga: Formuła zezwala na jeden współczynnik ψ K dla wszystkich podnatur.
Uwaga: Formuła zezwala na jeden współczynnik ψ K dla wszystkich podnatur.
Uwaga: Formuła zezwala na jeden współczynnik ψ K dla wszystkich podnatur.
Uwaga: Formuła zezwala na jeden współczynnik ψ K dla wszystkich podnatur.
Uwaga: Formuła zezwala na jeden współczynnik ψ dla wszystkich podnatur.
Uwaga: Formuła zezwala na jeden współczynnik ψ dla wszystkich podnatur.
Uwaga: Formuła zezwala na jeden współczynnik ψ K dla wszystkich podnatur.
Uwaga: Formuła zezwala na jeden współczynnik ψ K dla wszystkich podnatur.
Uwaga: Formuła zezwala na jeden współczynnik ψ K dla wszystkich podnatur.