Procedura obliczania współczynnika K jest następująca:
- Grunt pod fundamentem dzielony jest na pasma o grubości 0,2 m. Jeżeli grubość warstwy jest mniejsza od 0,2 m, to obliczenia są wykonywane dla całej warstwy.
- Każde pasmo n jest analizowane na podstawie wartości obliczanych na głębokości będącej środkiem pasma Zn.
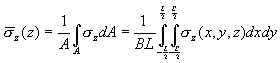
- Dla głębokości Zn wyznaczane jest średnie naprężenie od obciążeń zewnętrznych, ciężaru fundamentu i gruntów nadległych (σ(z)) pod fundamentem ze wzoru podanego poniżej,
gdzie:
B — wymiar poprzeczny prostokąta (fundamentu)
L — wymiar podłużny prostokąta (fundamentu)
Powyższy wzór opisuje średnią wartość naprężeń pod obszarem prostokątnym. Jest on wyprowadzony ze wzoru Boussinesque’a, który opisuje rozkład naprężeń w półprzestrzeni sprężystej od obciążenia siłą skupioną.
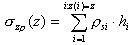
Wykorzystując zasadę superpozycji, można obliczyć naprężenie w punkcie P(0,0,z) od dowolnego obszaru obciążonego obciążeniem równomiernym zgodnie z poniższą zasadą:
Rozwiązania powyższego równania dla punktów narożnych obszaru prostokątnego, pod środkiem prostokątnej powierzchni oraz wartości średniej pod obszarem prostokątnym są podane w literaturze. Aby uzyskać średnią wartość naprężeń pod obszarem prostokątnym, należy skorzystać z następującego wzoru: który po scałkowaniu przyjmuje postać użytą w algorytmie obliczeniowym.
- Dla głębokości Zn wyznaczane jest naprężenie pierwotne pochodzące od gruntów zalegających powyżej analizowanego pasma.
Uwaga: W przypadku występowania wód gruntowych, wypór hydrostatyczny wody oraz jej ciężar są uwzględniane w obliczeniach.
- Dodatkowe naprężenia w gruncie, brane pod uwagę w obliczeniach osiadań, są spowodowane przez obciążenie zewnętrzne.
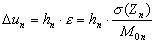
- Na podstawie charakterystyki gruntu oblicza się średnie osiadanie pasma n:
gdzie:
M0n — to pierwotny (bez uwzględnienia efektów odprężenia), endometryczny (uzyskany w aparacie trójosiowego ściskania) moduł ściśliwości gruntu w n—tym paśmie. Zależność pomiędzy modułem Younga a endometrycznym modułem ściśliwości wyraża się wzorem:
Uwaga: W przypadku braku wartości współczynnika Poissona danego typu gruntu, bazy danych gruntów programu Robot dla poszczególnych krajów mogą zawierać wartości E = M, co odpowiada materiałowi idealnie ściśliwemu (ν = 0,0). Typowe wartości współczynnika Poissona wynoszą 0.2÷0.3 dla gruntów niespoistych (wartość 0.2 dotyczy gruntów gruboziarnistych, jak żwiry, natomiast 0.3 gruntów drobnoziarnistych, jak pyły) i 0.25÷0.37 dla gruntów spoistych (wartość 0.25 dotyczy gruntów silnie skonsolidowanych, natomiast 0.37 gruntów ilastych).
Całkowite osiadanie gruntu jest sumą osiadań kolejnych warstw.
Obliczenia są wykonywane aż do uzyskania poziomu Zn:
- A więc co najmniej 1 (m).
- Dla których naprężenia wynikające z szacowanego obciążenia odpowiadają za mniej niż 25% naprężeń wywołanych przez masę gruntu.
- Dla których wzrost osiadania warstwy ∆ un w następnej warstwie jest mniejsza niż 0,1% wartości całkowitego osiadania
- A więc co najwyżej 10 (m).
Obliczony współczynnik sztywności wynosi K = 1 / ∆u. Współczynnik sztywności K odpowiada jednostkowemu obciążeniu powierzchni.