Siły statyczne przyłożone do konstrukcji mają wpływ na częstotliwość drgań własnych konstrukcji. Używana powszechnie analiza modalna (wyznaczanie drgań własnych konstrukcji) nie bierze pod uwagę wpływu sił statycznych; Aby zbliżyć się do realnych warunków pracy konstrukcji, w obliczeniach przeprowadzanych w programie Robot może zostać wykorzystana analiza modalna z uwzględnieniem przyłożonych sił statycznych.
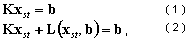
Obliczenia drgań własnych konstrukcji z uwzględnieniem działania sił statycznych przeprowadzane są w dwóch etapach: Liniowa (1) lub nieliniowa (2) analiza statycznego związku naprężenia-odkształcenia pod wpływem zadanego obciążenia statycznego.
gdzie:
xst — nieznany wektor stanu statycznego
b — wektor zadanego obciążenia statycznego (wektor obciążenia statycznego)
K — macierz sztywności
L (xst, b) — operator nieliniowy.
Wektor obciążenia statycznego b może być prostym przypadkiem obciążeniowym lub kombinacją zdefiniowanych przypadków obciążeniowych.
, ( 2a )
gdzie:
Ks — macierz sztywności naprężeniowej wywołana naprężeniami ze stanu statycznego
M — macierz mas
ωi2 — wartość własna (ωi = pulsacja)
Φ — wektor własny
Do rozwiązywania nieliniowego problemu statycznego (2) stosowane są te same metody jak w nieliniowej analizie statycznej. Dla liniowego problemu statycznego zachodzi korelacja:
, gdzie G jest macierzą sztywności geometrycznej.
Dodatnie wartości ωi (ω i > 0) opisują stabilne stany równowagi, wartości ujemne (ωi < 0) — niestabilne stany równowagi, Natomiast wartość zerowa (ωi = 0) oznacza brak stabilności (wyboczenie).
Jeżeli macierz K + Ks (xst) przestaje być dodatnio określona, to oznacza to, że obciążenie statyczne jest bliskie (przystaje do) wartości krytycznej (wyboczeniowej). W trakcie analizy nieliniowego problemu statycznego (2) zbieżność nie zostanie osiągnięta. Jeżeli wybrane zostało podejście liniowe (etap analizy statycznej) i macierz nie jest dodatnio określona (pojawia się na ekranie komunikat ostrzegający o tym fakcie), to zaleca się przerwanie obliczeń, gdyż dalsze obliczenia nie mają sensu.
Rozważmy przykładową konstrukcję pokazaną na poniższym rysunku. N oznacza obciążenie statyczne.

Przedstawione poniżej równanie opisuje zachowanie pokazanej na powyższym rysunku konstrukcji.
, ( 3 )
gdzie:
w — przemieszczenia spowodowane zginaniem
ρ — gęstość materiału
F — pole przekroju poprzecznego.
Rozwiązanie tego równania będzie poszukiwane w postaci:
( 4 )
Po podstawieniu wyrażenia ( 4 ) do ( 3 ) otrzymujemy:
, ( 5 )
gdzie:
— obciążenie wyboczeniowe
ω02 — wartość własna dla N=0 (wynik zwykłej analizy modalnej).
Po przekształceniach tego wzoru ostatecznie otrzymujemy:
, ( 6 )
gdzie ω2 — wartość własna uzyskana dla konstrukcji poddanej działaniu obciążenia statycznego N.
Wynik rozważań jest przedstawiony graficznie na poniższym rysunku.

Na zakończenie należy stwierdzić, że dla rzeczywistych konstrukcji zależność ω = ω(b) jest zazwyczaj nieco bardziej skomplikowana niż ta, która wynika ze wzoru (6).