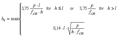
Grubość minimalna

Minimalna grubość belki—ściany powinna być równa

Jeśli belka—ściana jest wystarczająco podłużnie usztywniona zarówno w górnej, jak i dolnej strefie (elementy usztywnienia sięgają podpór), to pierwszy warunek powinien również obejmować weryfikację następującej relacji:

(p/h*fc28).