Projeto da solda |
momento de inércia da solda em ângulo J [mm 4 , pol 4 ] |
Posição do centro de gravidade da seção do grupo de solda |
|
![]() |
![]() |
|
![]() |
![]() |
|
![]() |
![]() |
|
![]() |
![]() |
|
![]() |
![]() |
|
![]() |
![]() |
|
J = π a (r + a / 2) 3 |
- |
|
![]()
|
![]()
|
|
![]()
|
![]()
|
|
![]()
|
![]() |
|
![]()
|
![]() |
|
![]()
|
![]() |
|
![]()
|
![]() |
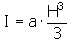
Significado das variáveis utilizadas:
a |
altura da solda em ângulo [mm, pol] |
B |
largura do grupo de solda [mm, pol] |
H |
altura do grupo de solda [mm, pol] |
L |
comprimento da solda [mm,pol] |
r |
raio da solda [mm, pol] |
s |
espessura da rede [mm, pol] |
t |
espessura do flange [mm, pol] |