Fórmulas de cálculo de splines com curva evolvente em unidades métricas

Torque transferido

onde:

 

P

potência transferida [Kw]

 

n

velocidade [mín -1 ]

Pressão na superfície de suporte chanfrada

1. diâmetro interno do eixo d h > 0

a)

b) se d min d h -> d min = 1,1 d h [mm]

c) se d min 1,5 d h -> d min = 1,5 d h [mm]

2. diâmetro interno do eixo d h = 0

onde:

 

d mín

diâmetro mínimo do eixo [mm]

 

d h

diâmetro interno do eixo [mm]

 

T

torque [Nm]

 

K a

fator de aplicação

 

K f

fator de vida útil de fadiga

 

S v

segurança desejada

 

τ Al

Tensão de corte suportada

Comprimento mínimo das splines para transferir o torque

1. Conexão fixa:

2. Conexão flexível:

onde:

 
 

T

torque [Nm]

 

K a

fator de aplicação

 

K f

fator de vida útil de desgaste

 

K w

fator de aplicação

 

K m

fator de distribuição da carga

 

S v

segurança desejada

 

d s

diâmetro do meio = (D + d) / 2 [mm]

 

D

diâmetro externo da seção chanfrado [mm]

 

d

diâmetro interno da seção chanfrado [mm]

 

N

número de ranhuras [-]

 

h

altura chanfrada = (D - d) / 2 [mm]

 

s

chanfro [mm]

 

h st

altura de conexão h st = h - 2 s [mm]

 

p Dmin

pressão suportada na superfície de suporte do eixo ou ranhura [MPa]

Pressão suportada

1. Conexão fixa:

2. Conexão flexível:

onde:

 
 

T

torque [Nm]

 

K a

fator de aplicação

 

K f

fator de vida útil de desgaste

 

K w

fator de aplicação

 

K m

fator de distribuição da carga

 

S v

segurança desejada

 

d s

diâmetro do meio = (D + d) / 2 [mm]

 

D

diâmetro externo da seção chanfrado [mm]

 

d

diâmetro interno da seção chanfrado [mm]

 

N

número de ranhuras [-]

 

h

altura chanfrada = (D - d) / 2 [mm]

 

s

chanfro [mm]

 

h st

altura de conexão h st = h - 2 s [mm]

 

l f

comprimento ativo da chave [mm]

Verificação de resistência

p min p ds

p min p dh

onde:

 

P mín

pressão mínima calculada h/2 [MPa]

 

p ds

pressão suportada no eixo [MPa]

 

p dh

pressão suportada no cubo [MPa]

Cálculo em unidades métricas segundo a norma CSN 01 4950

Tensão de vergadura

onde:

s sf

espessura de dedendum do dente cordal do eixo

s sf = 2,17m

 

h

altura do dente do eixo

h = 1,1m - 0,05

centralizado nos lados do dente, parte inferior chanfrada plana

   

h = 1,28m - 0,05

centralizado nos lados do dente, parte inferior chanfrada redonda

   

h = 1,2 m

centralização externa

Pressão na superfície de suporte chanfrado

onde:

 

h n

altura da spline do rolamento da carga

h n = 0,9 m - 0,05

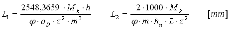
Comprimento mínimo das splines

L mín = máx {L 1 , L 2 } [mm]

onde:

Valores recomendados: L = (0,8 - 1,6) D

Verificação das splines

p p d e σσ d

onde:

 

P

potência transferida [kW]

 

n

velocidade [mín -1 ]

 

z

número do dente [-]

 

p D

pressão suportada nas superfícies de contato dos dentes [MPa]

 

σ D

tensão de dobra suportada [MPa]

 

L

comprimento ativo da spline [mm]

 

D

diâmetro de spline nominal [mm]

  ϕ

fator de contato da lateral do dente