Cargas do plenum

O espaço acima de um forro, quando é utilizado como um caminho de retorno de ar, é um plenum de ar de retorno do forro. Diferente de um retorno em duto tradicional, o plenum pode ter várias origens de calor no caminho. Estas origens de calor podem ser cargas de radiação e de convexão de iluminação e transformadores; cargas de condução de paredes adjacentes, telhados ou vidraça; ou sistemas de duto e tubulação dentro do plenum.

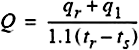
As equações seguintes mostram como temperaturas e transferência de calor para plenums são calculadas no mecanismo:

(35)

(36)

(37)

(38)

(39)

onde

= ganho de calor para espaço do plenum através de forro, Btu/h

= perda de calor do plenum através de piso acima, Btu/h

= ganho de calor “obtido” por retorno de ar, Btu/h

= retorno de fluxo de ar, Btu/h

= ganho de calor de luz para o plenum através de ar de retorno, Btu/h

= ganho de calor de luz para espaço, Btu/h

= ganho de calor do plenum abaixo, através de piso, Btu/h

= ganho de calor de parede externa, Btu/h

= carga de resfriamento do espaço, incluindo o tratamento adequado de , e/ou , Btu/h

= temperatura do plenum, °F

= temperatura do espaço, °F

= temperatura do espaço do piso acima, °F

= temperatura de fornecimento, °F

Diagrama de esquema de plenum de ar de retorno típico