Модальный расчет. Точность вычислений

Обобщенная задача на собственные значения определяется следующим образом:

K φ - λM φ = 0,

где K, M - матрица жесткости и матрица масс соответственно, {φ, λ} – собственные пары (форма свободных колебаний и собственное значение).

Определяются два типа остаточных векторов:

где {φ, λ} обозначают вычисленные собственные пары, которые включают определенные ошибки вычислений. Первое выражение задает остаточный вектор в терминах сил, второе – в терминах перемещений.

В программе применяются три различных критерия оценки ошибок расчета для собственных векторов:

Методы

Комментарии

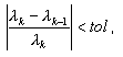
Точность не следует путать с допуском, определяемым в диалоговом окне Параметры Модального расчета при использовании в модальном расчете прямых решателей. Допуск в процессе вычислений определяется по следующей формуле:

где λk, λk-1 — два последовательных собственных значения на шагах итераций k, k-1, а tol означает допуск, заданный в диалоговом окне "Параметры модального расчета". Определение окончательной точности расчета (1-3) занимает много времени. Эта процедура выполняется на последнем этапе модального расчета как проверка полученной точности. Точность расчета может быть повышена при уменьшении значения tol допуска. Это приведет к увеличению числа итераций.

Если точность вычисления каких-либо форм по окончании расчета оказывается недостаточной, то необходимо сделать следующее:

ПРЯМЫЕ РЕШАТЕЛИ

ИТЕРАЦИОННОЕ РЕШЕНИЕ

Итерации в подпространствах, блочная итерация в подпространствах, метод Ланцоша

Метод редукции базиса

Модифицированный метод Ланцоша

PCG_Ritz

PCG

Уменьшение значения tol в диалоговом окне Параметры модального расчета

Увеличение числа основных узлов и основных направлений

Уменьшение значения tol в диалоговом окне Параметры итерационного решения и увеличение числа форм

Увеличение числа форм

Уменьшение значения tol в диалоговом окне Параметры модального расчета

См. также:

Итерационные параметры

Решатели, доступные в программе Robot.