Балки-стенки - принципы расчета арматуры

Метод вычисления балки-стенки базируется на основе принципов определенных в приложении E5 французских норм BAEL 91.

Следующие обозначения применяются для описания метода расчета для армирования балки-стенки по площади:

lt

Длина балки-стенки в направлении осей опор.

lo

Длина балки-стенки на передней грани.

l

Расчет длины балки-стенки = min(lt; 1,15lo).

h

Высшая точка балки-стенки.

bo

Ширина балки-стенки.

z

Рычаг внутренние силы.

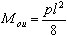
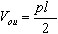
p

Для равномерной нагрузки, различают постоянные и переменные коэффициенты.

При операции с р нагрузкой возникает момент.

При операции с нагрузкой "р" возникает поперечная сила.

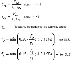
Напряжение сдвига равно:

См. также:

Минимальная толщина балки-стенки.

Расчет армирования.