Пластичность с упрочнением

Параметры пластической модели с упрочнением определяются для положительных аргументов x>0. Также указывается значение производной, которая нужна для определения жесткости.

Функция:

Для 0 < u < Dlim — это произведение функции f pl , полученной так же, как для схемы идеальной пластичности, определяемой параметрами:

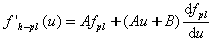
и линейной функции, описывающей упрочнение:

производная (жесткость):

ограничения:

Необходимо обратить внимание на то, что коэффициенты w и а взаимосвязаны: w представляет собой коэффициент кривой, рассчитываемой по следующей формуле:

а параметр "а" рассчитывается по такой формуле: