Сдвиг

Проверка условия скольжения может потребоваться в случае, когда горизонтальные силы, действующие на фундамент, преобладают по сравнению с вертикальными. При такой ситуации возникает опасность повреждения грунта в результате скольжения подошвы фундамента по грунту или сдвига между слоями неоднородного грунта, если ниже расположенные слои слабее слоя, находящегося в непосредственном контакте с подошвой основания.

Для избежания потери устойчивости при сдвиге рекомендуются следующие меры:

При проведении расчета на сдвиг необходимо иметь в виду, что сцепление грунта, непосредственно примыкающего к фундаменту, может измениться как в процессе подготовки работ, так и в результате изменения положения уровня грунтовых вод. В этих случаях величина сцепления грунта должна быть изменена.

Прим.: В модуле Фундамент боковое давление, вызванное смещением фундамент не учитываются. Это может привести к недооцененному уровню скольжения фундамента.

Для всех кодов (за исключением ACI, CSA, DTU 13.12 и Fascicule № 62 - Titre V) можно выбрать опцию Скольжение с учитываемым давнением грунта. После ее выбора дополнительно будут рассчитаны давление грунта Pa и пассивное давление Pp.

Программа будет учитывать высоту модели давления, равную:

Как показано на рисунке выше, пассивное давление будет рассчитываться по следующей формуле:

Для второго слоя она выглядит так:

.

Полное пассивное давление грунта имеет следующий вид:

Если обратная засыпка нагружена, то при расчете необходимо учитывать следующее:

Нагрузка q должна быть постоянной, она умножается на коэффициент увеличения. алгоритм расчета Pа идентичен как для P p .

Пользователь может определить нагрузку, действующую на указанную четверть отдельного фундамента. Затем пропорционально длине выбранной четверти определяется давление грунта, действующее с заданной стороны.

Скольжение с учетом давления грунта можно рассчитать для обоих направлений одновременно или для каждого отдельно (это выбирается из выпадающего списка подбора: для направлений X и Y, для направления X, для направления Y).

Расчет по разным нормам

  1. ACI \ CSA

    В данных нормах расчет на скольжение не предусмотрен. Если такой расчет необходим, то необходимо сделать проверку на скольжение вручную.

  2. BS 8004:1986;

    Условие устойчивости при скольжении записывается в виде:

    H ≤ HТРЕНИЕ

    где

    Hтрения = V * tg(j) + c * Ac ;

    V – вертикальная сила;

    j - угол внутреннего трения для грунта;

    c – сцепление;

    Ac - площадь контакта грунта и фундамента.

    Проектирование в этом состоянии предела результатов на запас прочности конструкции: H ТРЕНИЕ / H. Значение, которое больше или равно 1,0.

    Опции диалогового окна Геотехнические опции могут включить расчет данного предельного состояния и определение предельного значения коэффициента запаса.

  3. DTU 13.12;

    Условие устойчивости при скольжении записывается в виде:

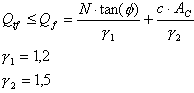
    Qtf ≤ Qf = N * tg(ϕ) + c*Ac

    где

    Qtf - горизонтальная сила

    N – вертикальная сила;

    ϕ - угол внутреннего трения грунта, учитывающий, что принятая величина tg(ϕ) не больше 0,5;

    c – сцепление грунта (не выше, чем 75 кПа);

    AC - зоны контакта фундамента и грунта.

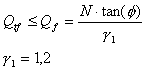
    В случае сейсмического воздействия, следуя литературе, сцепление грунта не учитывается, что приводит к упрощению формулы скольжения, формула принимает вид:

    При расчете скольжения между фундаментом и тощим бетоном (не связанным с фундаментом армирующими штырями), бетон: коэффициент трения тощего бетона является введенным, равным 0,75.

    Если имеются штыри, обеспечивающие постоянную связь между фундаментом и тощим бетоном, то это условие не проверяется.

    Проектирование для этого состояния предела результатов при получении запаса прочности конструкции: Qtf / Qf. Это значение которого больше или равно 1,0.

    Включение расчета данного предельного состояния, а также определение предельного значения коэффициента запаса можно осуществить с помощью диалогового окна Геотехнические опции.

  4. ENV 1994 1997-1 (ЕС 7)

    Расчет на скольжение производится в соответствии с пунктом 6.5.3.

    • Для условий с дренажем – формула (6.3):
      Прим.: Предполагается, что параметр d d принято как для монолитных фундаментов. Это означает, что δ d = φd- 6.5.3 (8).

      Поскольку нормы EC7 допускают учет сцепления грунта в расчете на скольжение 6.5.3 (8), имеется возможность учесть сцепление грунта частично или полностью, расширив формулу путем введения дополнительных членов, учитывающих сокращенное сцепление грунта:

      где

      коэффициент (находится в интервале <0.0, 1.0> и может быть определен в диалоговом окне Геотехнические опции;

      A' – рабочая площадь фундамента (площадь контакта фундамента и грунта);

      c' – проектное значение эффективного сцепления грунта.

      Если ввести для коэффициента значение 0.0, то эта формула принимает форму, приведенную в нормах (6.3).

    • В условиях отсутствия дренажа – формула (6.4):

      Sd = A' * cu.

      Прим.: Параметр грунта: сцепление без дренажа: здесь применяется значение cu.

      Более того, если рабочая площадь не равна площади фундамента (возникает отрыв), проверяется следующее условие (6.5):

      Sd < 0.4 Vd.

  5. EN 1997-1:2004 (ЕС 7)

    Расчет на скольжение производится в соответствии с пунктом 6.5.3.

    Общие условия описаны формулой (6.2):

    Hd ≤ Rd + Rp;d

    • В условиях дренажа: формула (6.3):

      Rd = V'd * tgδ d

      на основе точки A.2 (2), которая относится к коэффициенту γ φ было предположено, что расчетные значения коэффициента трения равняются:

      Параметр tan d, который является характерным коэффициентом трения грунта - фундамента, является свойством грунта, сохраненный в базе грунтов и называющийся Коэффициент трения.

      Параметр tan d используется для фундамента, непосредственно прямо на грунте, в соответствии базой данных грунтов, в которой это было бы определено в соответствии с кодом базы углов треня в критических условиях н должен быть определен в соответствии с кодом на основании угол трения при критическом условии tan δ = tan φ cv 6.5.3 (10) i A.2(2). После того как Гладкие готовые фундамент 6.5.3 (10) активируется параметр "в диалоговом окне" Настройка "в соответствии с Geotechnical 6.5.3 (10) и A.2 (2), значение коэффициента вычисляется следующим образом:

      EC7 код не рекомендует учитывать сцепление грунта в расчете скольжения 6.5.3 (10), но все же программа имеет такую возможность. частично или полностью использовать сцепление можно путем ввода дополнительных элементов в формулу (6.3a):

      Rd = V'd * tgδ d + ξ * A c * c u

      где

      коэффициент находится в интервале <0.0, 1.0> , может быть определен в диалоговом окне Геотехнические опции;

      A' – рабочая площадь фундамента (площадь контакта фундамента и грунта);

      c' – проектное значение эффективного сцепления грунта.

      Значение по умолчанию коэффициента уменьшения ξ = 0.0.

    • В условиях отсутствия дренажа – формула (6.4):

      Rd = A c * c u;d

      Прим.: Параметр грунта: сцепление без дренажа: здесь применяется значение cu.

      Более того, если рабочая площадь не равна площади фундамента (возникает отрыв), проверяется следующее условие (6.5):

      Rd < 0.4 Vd.

  6. Fascicule 62 Titre V;

    Условие устойчивости при скольжении записывается в виде:

    где

    Qtf - Горизонтальная сила.

    N – вертикальная сила;

    φ - угол внутреннего трения для грунта;

    c – сцепление грунта (не выше, чем 75 кПа);

    Ac - Площадь контакта фундамента с грунтом.

    В случае сейсмического воздействия, следуя литературе, сцепление грунта не учитывается, что приводит к упрощению формулы проскальзывания, формула принимает вид:

    При расчете скольжения между фундаментом и тощим бетоном (не связанным с фундаментом армирующими штырями), бетон: коэффициент трения тощего бетона является введенным, равным 0,75.

    Если имеются штыри, обеспечивающие постоянную связь между фундаментом и тощим бетоном, то это условие не проверяется.

    Проектирование для этого состояния предела результатов при получении запаса прочности конструкции: Qtf / Qf. Это значение которого больше или равно 1,0.

    Включение расчета данного предельного состояния, а также определение предельного значения коэффициента запаса можно осуществить с помощью диалогового окна Геотехнические опции.

  7. PN-81/B-03020

    Условие устойчивости при проскальзывании в нормах PN-81/B-03020 [A3] непосредственно не предусмотрено. Описание внизу следует нормам PN-83/B-03010 [A4]. Условие устойчивости при проскальзывании в соответствии с этими нормами и соответствующей литературой представляется в следующем виде:

    для слоя, расположенного ниже уровня контакта:

    где

    F R - Проектное значение замещающей силы.

    N – проектное значение вертикальной силы на условном горизонте;

    A' c — приведенная площадь основания фундамента.

    ϕ - проектное значение внутреннего угла трения грунта;

    A c - Зоны контакта фундамента с грунтом (уменьшенная площадь основания фундамента).

    μ - Коэффициента трения фундамент - грунт.

    C t - уменьшенное значение сцепления = (0,2 do 0,5) * cu.

    c u - Проектное значение сцепления грунта.

    m – Коэффициент коррекции.

    Результатом расчета данного предельного состояния является получение коэффициента запаса конструкции

    Включение расчета данного предельного состояния, а также определение предельного значения коэффициента запаса можно осуществить с помощью диалогового окна Геотехнические опции.

  8. СНиП 2.02.01-83

    Условие устойчивости при скольжении записывается в виде:

    где

    H – горизонтальная сила;

    γ с - коэффициент окружающей среды;

    yn – коэффициент надежности, учитывающий использование, для которого предназначена конструкция.

    V - вертикальная сила;

    φ - угол внутреннего трения для грунта;

    c - сцепление грунта;

    Ac - зоны контакта фундамента с грунтом.

    As результат проектирования этого граничного состояния, получен следующий запас прочности конструкции:

    Включение расчета данного предельного состояния, а также определение предельного значения коэффициента запаса можно осуществить с помощью диалогового окна Геотехнические опции.