Модальный отклик определяется при помощи следующей формулы:
где
n – число форм
e ij - коэффициент корреляции
R i R j - спектральный отклик на формы i и j.
В программе доступны следующие типы квадратичных комбинаций:
Для метода SRSS коэффициент корреляции равен:
eij = 1 для i=j,
eij = 0 для i≠j,
таким образом:
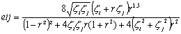
Для метода CQC коэффициенты корреляции вычисляются на основе следующей формулы:
где
ζ i , ζ j - коэффициенты демпфирования для форм i и j (относительные значения)
r = Min (T i /T j ; T j /T i ) ≤ 1
T j , T i - периоды колебаний для форм i и j.
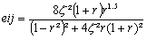
Приведенная выше формула используется в программе в случае, когда включается опция Включить в вычисление демпфирования в диалоговом окне с параметрами Модального анализа. Если эта опция выключена, значение демпфирования применяется ко всем формам и указанная выше формула приобретает следующий вид:
где Rdir1 - репрезентативное максимальное значение особого отклика данного элемента на данный компонент землетрясения, определяемый как dir1;Rkdir1 пиковое значение отклика элемента для k-й формы.
где Rdir1 репрезентативное максимальное значение особого отклика данного элемента на данный компонент землетрясения, определяемый как dir1; Rkdir1 - пиковое значение отклика элемента для k-й формы(k <-> s); N – число форм.

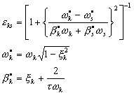
τ - определяет продолжительность землетрясения
ξk - коэффициент затухания для k-й формы.
ωk - круговая частота для k-й формы (k <-> s).
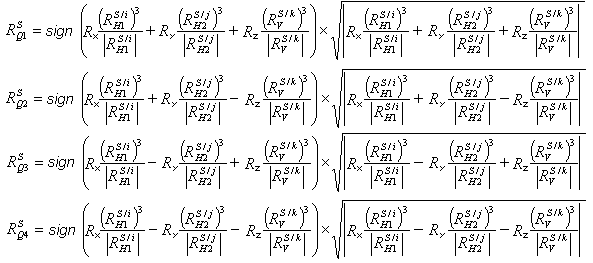
Формулы, позволяющие оценивать квадратичную комбинацию, обозначаемую RQ для направлений H1, H2 и V:

где

RH1 – квадратичный отклик количества, рассчитанный из модальных откликов сейсмического или спектрального варианта для первого горизонтального направления;
RH2 – квадратичный отклик количества, рассчитанный из всех модальных откликов сейсмического или спектрального варианта для второго горизонтального направления;
RV – квадратичный отклик количества, рассчитанный из всех модальных откликов сейсмического или спектрального варианта для вертикального направления;
Rx, Ry, Rz - коэффициенты, определенные, как для квадратичной комбинации в диалоговом окне Определение направления.