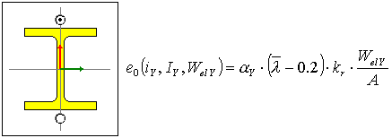
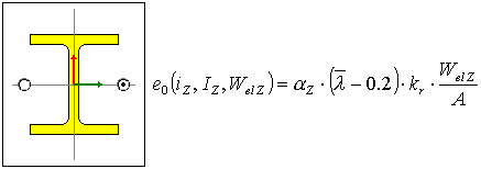
Для норм: EC3 (ENV 1993-1-:1992), начальный прогиб рассчитывается по следующей формуле:

Расчет прогиба по оси Z (потеря устойчивости при продольном изгибе - осьY-Y):

Расчет прогиба по оси Y потеря устойчивости при продольном изгибе - ось Z-Z):

где
A – площадь поперечного сечения (A = SX)

a - Еврокод 3, таблицы 5.5.3 и 5.5.1
– приведенная гибкость, Еврокод 5.5.1.2, формула (5.46)

По причине сложности вычислений предполагается, что:

Re [Pa] – предел упругости материала
l = l /i
где
l = L * коэффициент длины продольного изгиба
L - длина элемента

таблица 5.5.1
ks указан в таблице 5.5.1, в зависимости от gM1; значения, указанные в этой таблице для gM1 = 1.1, всегда используется при расчете:
Для норм (EN 1993-1:2005) - табличный метод, начальный прогиб рассчитывается по таблице 5.1, пункт 5.3.2 (3b) Величина прогиба зависит от длины элемента и от выбранного вида расчета: упругий расчет или пластический.