Формулы для определения основных и комплексных величин

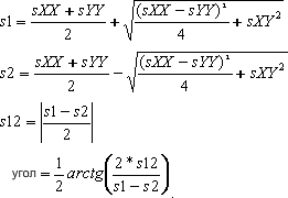
Основные значения напряжения s определяются согласно следующим формулам:

Прим.: Основные значения мембранных усилий N и моментов M определяются по тем же формулам (буква "s", обозначающая напряжения, соответственно заменяется буквами "N" и "M").

Комплексное (приведенное) значение напряжения s ( Mises) определяется согласно следующей формуле:

Прим.: Значения приведенных мембранных усилий N и моментов M определяются по той же формуле (буква "s", обозначающая напряжения, соответственно заменяется буквами "N" и "M").