这些公式用于具有多个支承和载荷的轴(具有一个或多个截面)或梁(具有相同截面)的计算。
轴/梁的轴与 Z 轴平行。如果在计算中包含材料密度的影响,则重力矢量与 Y 轴平行。
剪切力:
弯矩:
变形角度:
其中:
|
E |
拉伸弹性模量 |
|
|
J |
转动惯量 |
|
|
G |
切变模量 |
|
| β |
剪切位移比 |
变形量:
弯曲应力:
剪切应力:
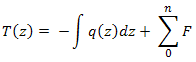
扭应力:
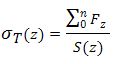
拉伸应力:
减小的应力:
其中:
| σ B | 弯曲应力 | |
| σ T |
拉伸应力 |
|
| τ | 扭应力 | |
| τ S | 剪切应力 | |
| α | α = 3(对于 HMH) | |
| α = 4(对于 Tresca-Guest) |
样例计算
弹性模量 E = 210 000 MPa
刚性模量 G = 81 000 MPa
剪切位移比 β=1.118
等效应力模式:HMH
请勿包括材料密度。
支撑力:
最大剪切应力:
最大扭应力:
最大力矩:
最大弯曲应力:
最大等效应力:
扭曲角度: