传递的转矩
其中:
|
P |
传递的功率 [kW] |
|
|
n |
速度 [min -1 ] |
槽支承面上的压力
1. 轴内径 d h > 0
a)
b) 如果 d min ≤d h -> d min = 1.1 d h [mm]
c) 如果 d min ≤ 1.5 d h -> d min = 1.5 d h [mm]
2. 轴内径 d h = 0
其中:
|
d min |
最小轴直径 [mm] |
|
|
d h |
轴内径 [mm] |
|
|
T |
转矩 [Nm] |
|
|
K a |
应用系数 |
|
|
K f |
疲劳寿命系数 |
|
|
S v |
安全系数 |
|
|
τ Al |
许用剪切应力 |
用于传递转矩的最小花键长度
|
1. 固定接头: |
![]() |
|
2. 柔性接头: |
![]() |
|
其中: |
|
T |
转矩 [Nm] |
|
|
K a |
应用系数 |
|
|
K f |
磨损寿命系数 |
|
|
K w |
应用系数 |
|
|
K m |
载荷分布系数 |
|
|
S v |
安全系数 |
|
|
d s |
中径 = (D + d) / 2 [mm] |
|
|
D |
槽截面的外部直径 [mm] |
|
|
d |
槽截面的内部直径 [mm] |
|
|
N |
槽的数量 [-] |
|
|
h |
坡口高度 = (D - d) / 2 [mm] |
|
|
s |
倒角 [mm] |
|
|
h st |
接头高度 h st = h - 2 s [mm] |
|
|
p Dmin |
轴或槽的支承面的许用压力 [MPa] |
许用压力
|
1. 固定接头: |
![]() |
|
2. 柔性接头: |
![]() |
|
其中: |
|
T |
转矩 [Nm] |
|
|
K a |
应用系数 |
|
|
K f |
磨损寿命系数 |
|
|
K w |
应用系数 |
|
|
K m |
载荷分布系数 |
|
|
S v |
安全系数 |
|
|
d s |
中径 = (D + d) / 2 [mm] |
|
|
D |
槽截面的外部直径 [mm] |
|
|
d |
槽截面的内部直径 [mm] |
|
|
N |
槽的数量 [-] |
|
|
h |
坡口高度 = (D - d) / 2 [mm] |
|
|
s |
倒角 [mm] |
|
|
h st |
接头高度 h st = h - 2 s [mm] |
|
|
l f |
有效键长度 [mm] |
强度校核
p min ≤ p ds
p min ≤ p dh
其中:
|
p min |
最小计算 h/2 压力 [MPa] |
|
|
p ds |
轴的许用压力 [MPa] |
|
|
p dh |
轮毂的许用压力 [MPa] |
根据 CSN 01 4950 进行公制计算
弯曲应力
其中:
|
s sf |
轴弦齿的齿根厚度 |
s sf = 2.17m |
|
|
h |
轴齿高度 |
h = 1.1m - 0.05 |
中心对准于齿侧,平槽底 |
|
h = 1.28m - 0.05 |
中心对准于齿侧,圆槽底 |
||
|
h = 1.2 m |
中心对准于外部 |
槽支承面上的压力
其中:
|
h n |
承受载荷的花键高度 |
h n = 0.9 m - 0.05 |
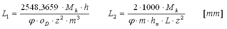
最小花键长度
L min = max {L 1 , L 2 } [mm]
其中:
建议值:L = (0.8 - 1.6) D
花键校核
p ≤ p d 和 σ≤σ d
其中:
|
P |
传递的功率 [kW] |
|
|
n |
速度 [min -1 ] |
|
|
z |
齿数 [-] |
|
|
p D |
齿的接触面的许用压力 [MPa] |
|
|
σ D |
许用弯曲应力 [MPa] |
|
|
L |
花键有效长度 [mm] |
|
|
D |
额定花键直径 [mm] |
|
| ϕ |
齿侧接触系数 |